Menu
Write a review
File a complaint
American Automobile Association [AAA] Profile

American Automobile Association [AAA]

www.aaa.com

Learn how the rating is calculated

1.0

Overall customer rating from reviews and complaints

American Automobile Association [AAA] earns a 1.0-star rating from 5 reviews and 644 complaints, showing that the majority of members are dissatisfied with services.

Claim Your Business
Take control of your profile: address complaints and engage with reviews
Write a review File a complaint

American Automobile Association [AAA] Complaints Page 14 of 33

ComplaintsBoard
G
6:51 am UTC
Verified customer This complaint was posted by a verified customer. Learn more

American Automobile Association [AAA] Roadside Insurance

I cancel my AAA in December 2019. On February 6, 2020 $80 was taken out of my banking account for the Roadside Insurance. I called the local office and I said I cancel my AAA in December 2019 and I did not want the Roadside Ins. I called at least 3-4 times for my refund. I call yesterday and was on hold for oveer 1/2 hour. I hung up! I want my $80 back now! I will be calling the BBB and file a complaint today! I think this is a scam and I am not happy about it!
Gary Dietrich
[protected]@yahoo.com
[protected]

Read full complaint
Hide full review
ComplaintsBoard
A
2:49 pm UTC

American Automobile Association [AAA] Towing

ANITA & THOMAS FRAGE
22106 MARTELLA AVENUE
BOCA RATON, FL 33433
HOME [protected]
CELL: [protected]
OFFICE: [protected]
EMAIL: [protected]@AOL.COM

March 9, 2020

AAA Corporate Office Headquarters
The American Automobile Association
1000 AAA Dr.
Heathrow, FL 32746

Re: Member No: 429-014-[protected] 6 (PLUS MEMBERSHIP)

To Whom It May Concern:

Please be advised that the undersigned contacted your AAA Roadside Service on this date at 6:00 a.m. for a tow of our car to the specific Auto Shop at 600 D NE 27th Street, Pompano Beach, FL.

After 3 hours of waiting, your office sent someone who "thought" they could start our car. The car that needed to be towed was in my driveway and "my" car, which I needed to go to work, was in the garage. First, I specifically called and requested that they tow our Buick Lucerne to the Auto Shop because we did not know what the problem was with the vehicle and we had dealt with this specific auto shop in the past. I requested to speak to a "Supervisor" who did not provide me his name and he reiterated that it would be an additional 1 hour to 1 ½ hours to arrive. Your "Supervisor" then advised that it would cost me $48.00 additional charge because of the mileage. The "Supervisor" at that point cancelled my request for any service whatsoever and hung up on me.

I contacted your office again and spoke to another employee who informed me that my request was, in fact, cancelled and therefore I would have to have wait an additional 1 hour to 1 ½ hours for service. I begged your employee to help me and, as nice as she was, your employee was very helpful and provided me with a tow truck.

Please be advised that the mileage from my home to the Auto Shop is approximately 12.2 to 13.1 miles. I have attached a map for your review. Also, please be advised that this is the first time this year that I have contacted AAA for assistance and have not used your services for the past several years.

I am very discouraged with the service and especially with the "Supervisor", whoever that may be. As you know, I have paid for and we have the "Plus Membership". I have attached a copy of my membership card.

Please reimburse me for the "Mileage Fees" of $48.00 which should not have been charged. Also, I would hope that your employees accommodate and apologize for their error, especially the "Supervisor".

If this does not meet with your approval, or if you do not agree with me, I will have no alternative but to cancel my membership. Please do not hesitate to contact me to discuss this matter. Also, please advise when we will receive the $48.00 which was overcharged to the undersigned.

If your office will not refund the $48.00, I will have no alternative but to contact my attorney to collect the overcharge.

Thank you for your courtesy and cooperation in this matter.

Very truly yours,

Anita Frage

Encls.
cc: Marshall L. Doney, CEO

Read full complaint
Hide full review
ComplaintsBoard
L
11:53 am UTC
Featured review
This review was chosen algorithmically as the most valued customer feedback.

I took my car in to AAA to replace spark plugs and get oil change. Repair order no 7261361 my aaa membership id 620 111 [protected] 9 Member since 2008. I complained about them not rotating tires in previce service. I was quoted $227.95 to change spark Plugs and $29.99 for Oil change. I was charged an additional $11.99 marked BG Oil package. I beleive thi...

Read full complaint
ComplaintsBoard
I
8:18 am UTC
Verified customer This complaint was posted by a verified customer. Learn more
Featured review
This review was chosen algorithmically as the most valued customer feedback.

I contacting this office and spoke with Raquel about car insurance. Her quote was $200 more than my online account without changes. I didnt the paperwork bu phone and once the policy was emailed to me, I send her a email stating I changed my mine since the monthly was didnt and not going to start a policy. She charged my card anyway for monthly bill and...

Read full complaint
ComplaintsBoard
G
7:04 pm UTC
Verified customer This complaint was posted by a verified customer. Learn more

American Automobile Association [AAA] tow

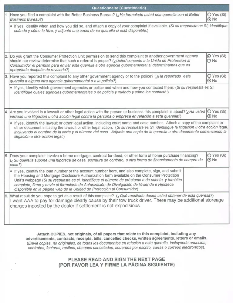
I recieved a tow from aaa in October and the tow truck driver damaged my car. I submitted a claim and now 4 months later I have not received a response from anyone. I would like my car to either get fixed or given the money to fix it myself. I can be reached at [protected] and my name is Greg Blackman. Thanks. The tow truck company came out and took photos and I dint know if they think that this is a joke but I am willing to go to small claims court to get this resolved if I cant be helped.

Read full complaint
Hide full review
ComplaintsBoard
R
10:47 pm UTC
Featured review
This review was chosen algorithmically as the most valued customer feedback.

On 12/16/19 I was involved in a non injury single vehicle private property collision that required my vehicle to be towed to my residence. I contacted AAA and they dispatched a tow truck. The company that responded (NK Towing) towed my vehicle home and placed it in the driveway. Upon leaving my driveway and neighborhood, the tow driver backed into a vehicle...

Read full complaint
ComplaintsBoard
N
1:34 am UTC

American Automobile Association [AAA] towing

My car was not starting so I called for a TOW truck. I asked TWICE for a tow truck and denied roadside assistance because I was in a rush and didn't want to waste time when I knew the problem WAS NOT the battery. Your representative send a road side technician anyway, against my wishes, and he was not able to fix the problem. So now I'm stuck waiting ANOTHER 40 minutes for the tow truck I originally asked for. Very frustrating, extremely poor customer service.

Read full complaint
Hide full review
ComplaintsBoard
S
11:45 pm UTC
Verified customer This complaint was posted by a verified customer. Learn more

American Automobile Association [AAA] auto and home insurance

AAA took over a policy renewal that I had with Safeco and sent me a cheaper rate to get me to sign up but a whole page of fine print coverage was not offered for that price and I would have to pay to get that if I want it. I asked to add my husband to my home insurance policy and went ahead and paid for the auto policy and was going to pay for the home policy once it was updated. After multiple emails and calls, no one fixed the home policy that I was willing to pay more for but needed my husband on the policy. They never responded to my calls or emails but keep sending me reminders to pay for the policy.
Neither policy was in effect with AAA yet as I was going to get them renewed before they expired with Safeco. After two weeks passed and nothing was updated by AAA, I decided to cancel the auto policy that I paid for so I can take both policies with the same company and get a bundled discount. I actually saved over $1000 by doing it with another company.
Since I had paid for the auto policy in full, I called AAA to get a refund. The policy was not in effect yet and the person who processed the refund confirmed twice when I asked that it would be a full refund. I logged on that evening to see if it was processed and there is a $30 charge for a policy that never went into effect yet, that no one ever told me that there would be a cancellation fee for-just a nightmare. I called and asked why they didn't refund me the full amount and they said that's their policy. I asked to see a copy of the policy since nothing that I received showed that there would be a cancellation fee for a policy that didn't go into effect. They told me the policy is only for employees and I cannot see it. I asked for the situation to be escalated and for a manager to call me back and they told me that department does not call customers.
I have never heard of such a thing in my life. They do not tell you about the cancellation fees, they confirmed I would get a full refund which was not true, and they said they do not call their customers back. What company does this? I will take this further because their calls are recorded and I have the phone call logs and emails that I sent numerous times without any response. I am very happy that I did not proceed with them because if this is happening before the policy goes into effect, I cannot imagine what would happen if I had an accident or needed them to fix something.
Please DO NOT use this company! They are scams and do very shady business! Everything has been a scam with them!

Read full complaint
Hide full review
ComplaintsBoard
D
5:06 pm UTC

American Automobile Association [AAA] no help from aaa employee

On 1/1/20 I was rear ended about a mile away from my house. I pulled over called police and got an incident number from the officer as well as the insurance info and registration for the other drivers car. I called AAA the very next day and started the claim. I was given a claim number as well as the info to the adjuster that would be assisting me in repairing my vehicle. After waiting for 2 days I tried several time to contact the adjuster(Luke DeMarino) after about the 3-4 time of calling I finally had made contact with with the adjuster only to be given and attitude and told I had to wait for him to track down the driver that rear by ended me and that the driver is in the service and unavailable at the moment. I then proceeded to ask "so what I'm supposed to just sit and deal with my car being crashed up by someone on one of your policy's" at which time his response was yes and that I could always contact my insurance company to have my vehicle fixed! I was extremely upset by his attitude and the way he was talking to someone he was supposed to be helping. He is lazy and clearly has no care about his job or his profession I find him extremely ignorant and lazy. I just would like my vehicle fixed to the condition it was in before I was rear ended by one of your customers I should have to deal with an employee like him ontop of all the other headaches and inconveniences I'm being forced to have to deal because of this situation. I have and incident number and a claim number and the gentleman already admitted to the police officer that he rear ended me. I do not understand what he would need to speak to this gentleman about that is forcing me to have to drive a crashed vehicle that I am still making payments on when I'm the person that is the victim...Please address this issue immediately I'm would just like my vehicle back to the condition it was in before I was hit. I'm trying to do this the nice way and without having to bring in a lawyer and a lawsuit but he is making it very difficult for me to have faith in your company...
Thank You
David Gonzalez [protected]

Read full complaint
Hide full review
ComplaintsBoard
Y
10:50 pm UTC
Verified customer This complaint was posted by a verified customer. Learn more

American Automobile Association [AAA] iphone 7

dear sir madam,
I have been using an iphone 7 for a while, which was working perfectly. 2 or 3 days After the last update the phone stopped working and says no service& i tried to find out the problem and found out that is the common problem with iphone 7 and apple shared on its website that they replaced if anyone has this issue and is those series that comes on the website ( https: support.apple.com iphone-7-no-service) as you can see there.
I went to apple store today but they avoid me offer any replacement as they said is over warranty- i asked them but it was kind of their fault and is not mentioned on their website that they would replaced faulty one as long as is under warranty, they just mentioned they replaced it . they refused and i have been told by manager go and complain.
also i asked them to fix it they said it is not fixable if you want you can pay for new phone
so i dont understand why this issue on my phone, i want a senior manager to quickly resolve this issue .
if you want any more details about my device please contact me

Read full complaint
View 0 more photos
Hide full review
ComplaintsBoard
S
5:36 pm UTC
Featured review
This review was chosen algorithmically as the most valued customer feedback.

Stayed at this hotel on 11/23/2019. Found hairs/makeup on pillow of first bed (2 bed room). Second bed had small holes in sheet. Shower had hair on walls and when wife took shower, had a hand towel fall out of her clean bath towel that had what appears to be blood/feces on it. (Picture attached). Night staff offered no help so we checked out and went to...

View 0 more photos
Read full complaint
ComplaintsBoard
W
8:22 pm UTC
Verified customer This complaint was posted by a verified customer. Learn more

American Automobile Association [AAA] roadside service

Case #834 Tow truck driver tried to charge my vehicle twice with reverse polarity and destroyed my battery and a number of fusses. The action was verified by four different individual sources yet AAA denied my claim. I was in the vehicle trying start the car and close the window notices spark from under the hood got and founf the cables on the wrong terminals. Tow driver advised me that stuff happens and when it rains it pours.I am attaching the paper work I sent to the attorney generals complaint department. I want to pay for repairs and any future charges from the dealer while the case goes to litigation. They have been uncooperative refusing to talk to me for more than 45 days.

Read full complaint
View 0 more photos
Hide full review
ComplaintsBoard
S
3:04 am UTC

American Automobile Association [AAA] aaa southern california automobile club

On friday 11/22/2019, I contacted aaa in regards to a tow service I requested on friday 11/15/2019, in post falls, id. My fiancé had car trouble while driving my vehicle and we needed to have it towed to the dealership we purchased it from, which was located a few miles away in spokane, wa. I was able to contact aaa while I was at work and had the vehicle towed. I had a very busy week at work and waited a few days to hear from the mechanics to get an update on my vehicle and started to reach out for information on my vehicle. I have been unable to speak to anyone or get confirmation that my
Car was actually delivered there and is at the requested location. I am now in need of my vehicle to transport my children to school and to get to my place of employment. I now have no idea where my vehicle is, if it was even actually towed and I now have been denied, what should be standard across the board, quality customer care. Aaa has lost my vehicle and will not take the initiative not only as a upstanding business but as a responsible party, and resolve this issue I did not cause.

Read full complaint
Hide full review
ComplaintsBoard
T
10:48 am UTC

American Automobile Association [AAA] roadside assistance

I came out of my house this morning to find that I had a flat tire on my truck. I called AAA immediately at 7:02 am. I was told a technician would be here in about 60 minutes. It has now been over an hour and 40 minutes and AAA just called to say someone should be here in 20-30 minutes. Ridiculous. I have been a AAA member for 20 years and was happy with their service until recently. I'm not sure what has changed, but having to wait more than two hours for roadside assistance is not what I signed up for.

Read full complaint
Hide full review
ComplaintsBoard
C
7:15 pm UTC
Featured review
This review was chosen algorithmically as the most valued customer feedback.

I was involved in a DUI hit in riun accident on May 31st 2019. After filing a claim with AAA the guilty party's insurance. I took my car to Showtime Custom Coach in Running Springs Ca. They had my car for two days. They called me on 8/16/2019 to tell me my car was ready!I payed for repairs and went on my way. I took my car a 2006 Toyota Corolla L.E. to my...

Read full complaint
ComplaintsBoard
D
7:31 pm UTC
Featured review
This review was chosen algorithmically as the most valued customer feedback.

I was with a friend at AAA in Corvallis OR on Monday 11/11. She was returning a brand new suitcase she had purchased with cash. When she asked that the return be in cash, she was informed by an associate that they could not do so because they did not have enough cash in their register. I know that this was a lie, because I had JUST SEEN a customer pay them...

Read full complaint
ComplaintsBoard
S
5:37 pm UTC

American Automobile Association [AAA] premier

I get varied expertise in response to inquiries and service requests in my let's say 25 years on and off of AAA membership. Today I spent 40 minutes on 4 calls to AAA premier services and local offices. I got no answers, found one online (mature driving course) for less than the one offered at $4 discount by AAA, while I was on hold. The first operator I got had transferred me to the queue of a traffic school, not an agent to answer my questions. I waited 15 minutes only for them to offer an automated callback. Because the operator had tried to connect me, her # at AAA came up as the callback number. I tried to change it according to the voice instructions, but it did not work, it kept repeating her AAA number. So I called THAT number and got another AAA operator who kept apologizing (but would not offer any explanation about what he could do to change the snafu for the next caller, apparently there's no upward movement of information there), and transferred me to an assuredly live person who could assuredly answer my questions. She was live, but got no call prefacing. She was not familiar with the auto consult service (direct from the brochure) that I was asking for (not asking anymore about the driving course, found one myself for $10 in less time). I wasn't going to do more free consulting that was falling on deaf ears; so I called the local office and did get someone at that location (google search the local office and press only 0 after calling their number, don't call the number on the card to get the local office). i was explaining to the agent and he repeatedly interrupted me to get to the point, which i did, and he said they don't offer any service of that type. From AAA brochure:
"Automotive Expert Consultation
AAA Premier Members can receive free advice on vehicle problems and repairs from our specialized team of automotive consultants"

if you need the 200 mi tow it's probably still worth it. expect delays on that and all other services. This time i got nowhere and don't know if i will get anywhere by going to the office. But I am going to try.

Read full complaint
Hide full review
ComplaintsBoard
B
3:48 pm UTC
Verified customer This complaint was posted by a verified customer. Learn more

American Automobile Association [AAA] claim declined

Our car was parked at roadside when another car insured with AAA hit our car in the front (the driver was backing up his car) and caused damage on the front bumper. A police officer was called in and left a note with us as he said that the damage was not big enough to write a report. The driver admitted that he made the mistake by hitting our car. But our claim for compensation was denied as the representative said in a letter "Based on the findings of our investigation our vehicle never made contact with your vehicle". We do not understand how the conclusion was made and it is just an insult to say that as if we filed a false claim. We haven't got a penny to fix the damage either.

Read full complaint
Hide full review
ComplaintsBoard
G
1:01 pm UTC

American Automobile Association [AAA] roadside service

Motorcycle went down /flat tire from hitting rock in road an hour from anywhere cell service existed so had friends call for me when they arrived at a town. I'm in the sun no shade no food little water and masses of flies for 3 hours when I flag down other drivers who promise to take my information and call AAA on my behalf multiple times. Clearly I had to stay with my motorcycle.
AAA ignored every single request from the Samaritans, leaving me stranded in the blazing sun and the company of 9000 sweat flies from 8:30am-5pm when a truck came for another bike that flew off the road about a mile from me.
I convinced the flatbed driver him to take me as well and made it home perhaps that evening.

What AAA DID do is send a truck from the wrong town to another town neither I nor my friends had ever heard of while my actual location, which was explained extremely clearly several times to the operator, would had been out of the driver's service area even if he hadn't gotten himself lost.

I. Don't. Like. Useless. Idiots.

Read full complaint and 1 comment
Hide full review
1 comment
Add a comment
L
L
Left in the cold!
Mansfield, US
Send a message
Nov 16, 2019 12:53 pm UTC
Verified customer This complaint was posted by a verified customer. Learn more

Same to me in 17 degree weather. Left me to die. I will never get AAA again. Frost bite, hypothermia.

ComplaintsBoard
H
10:38 am UTC

American Automobile Association [AAA] tow service

My car battery was dead and I needed AAA to either jump start my car or tow to a mechanic. You only get 4 allotted tows per year and I had used all 4. I had paid to renew my membership about 3 weeks ago and thought my allotted time was into the next year.

When I called for the service, they said they can't help because my allotted time doesn't renew again until November 1st. I tried to explain that I've been a steady member for about 15 years and that my car is stranded. They didn't care, they held firm on declining service because of 6 days. They could have chosen to provide the tow and charge it to the my allotment that begins in 6 years but they cared more about the strictest interpretation of their policy rather and taking care of an established member. I've never seen anything like this.

Also, a few days ago I had a friend that was stranded in a parking lot, about 2am, by herself. I thought, no problem, I'll call AAA and get her towed to safety (not realizing at that time that my allotment had been used up). They refused to provide the service. Many times in the past I've been able to help someone out by giving them one of my AAA tows and I didn't have to be with the car when service was provided. I guess this is another policy they've tightened up on because they wouldn't budge an inch either.

Read full complaint
Hide full review

About American Automobile Association [AAA]

The American Automobile Association (AAA) offers a range of services including roadside assistance, travel planning, and insurance. Members benefit from discounts on various products and travel deals. AAA also provides auto repair services and driver education.
Trust badge
Collect Your Trust Badge
Be recognized for outstanding customer service
American Automobile Association [AAA] Category
American Automobile Association [AAA] is ranked 1 among 46 companies in the Transportation and Vehicles category