Menu
Write a review
File a complaint
Ford Profile

Ford

www.ford.com

Learn how the rating is calculated

1.3

Overall reputation rating based on reviews and complaints

Ford has an overall reputation rating of 1.3/5 based on 7 reviews and 2287 complaints, indicating that the majority of vehicle owners are dissatisfied with their purchases.

Claim Your Business
Take control of your profile: address complaints and engage with reviews
Write a review File a complaint

Ford Complaints Page 52 of 115

ComplaintsBoard
A
12:41 pm UTC

Ford spider web crackling on rear bumper

On April 19, 2018 We purchased a 2017 Ford Explorer Limited, it was a managers car, had 18, 948 miles on it thus had never been registered so sold as new, not used. Vin #1FM5K8F88HGG22618.

Either in our excitement to pick this great car up or it was covered up by the dealer this issue was not immediately noticeable. People who do body work have seen it and they feel it was spray painted and not left to dry long enough in between coats and cracked.

We are being told by the dealer it must be from a previous accident and neither they nor Ford feel responsible to help. If the car was damaged under their ownership why wasn't it properly repaired ?

This is not an inexpensive vehicle and we hope to keep it a long time, it seems unfair that we need to live with a cracked bumper, damage we did not do nor were informed of ~I would think a company as big as Ford and the dealer would work together to guarantee customer satisfaction.

We would appreciate any effort to help with this issue.

Regards, Michael Halliday

P.S. not great pictures but I think situation is clear.

Read full complaint
View 0 more photos
Hide full review
ComplaintsBoard
J
7:31 am UTC

Ford paint bubbling and cracking on lift gate and hood - 2015 ford expedition

Case# cas-[protected]
2015 - ford expedition
I write to you in a complaint of paint bubbling and cracking on my lift gate and hood. The more I research this issue I see this is not a new issue but a very old issue that ford is not taking care of. I could go on and on with complaints that I have researched but I only pasted a couple above.
I bought this vehicle with 40, 000 miles on it and over the next year I started noticing paint problems. I bought this vehicle because I have 3 small children and I needed a big enough vehicle to hold 3 car seats and at least 2 adults. Plus a stroller and everything else that goes along with have a big family. Now that my 2015 expedition is having paint issues this needs to be corrected by ford. This is not acceptable. Especially when you know there is a paint issue and yet you do nothing to correct it. I spend around 40, 000$ on this vehicle. That is a lot of money to me and takes a lot of hard work to make enough money to pay a vehicle off like this. Now I will own a 2015 ford expedition with paint issues.
Because of this issue and ford not holding up to their product I will never buy a ford again. I have family members that own fords and the more I started talking to them about the paint problem they all have the same issues. I keep getting told that ford will not stand by their vehicles and paint issues even though they you know about the issue.
Im writing because I want to have a good vehicle to haul my kids around in, get groceries, and normal family things. But the more I research I see this is most likely a waste of my time even writing to you. But I still have hopes that you will step up to your issue and pay to correct my vehicle. No one should own a 2015 vehicle and have paint issues. Please take care of this issue.

Read full complaint
Hide full review
ComplaintsBoard
R
2:37 pm UTC

Ford steering rack broken on my ford focus 2013

Two weeks ago I left work, got to my car and 'faulty steering' dummy light came on. Car steering would not turn steering wheel at all. Got my 2013 towed to the dealer ($90). After waiting a few days, I was informed by the dealer that the steering rack had gone out and it would costs about $2700 to fix. Since I am 1/2 way through my car note with Ally that was not good news. I don't have the $2700 to fix my car or 1/2 of that amount to find a trusty mechanic.

Tomorrow, I will have my little car towed to my house.

So...after this diagnosis, I started researching this problem. I find ELECTRICAL SYSTEM:WIRING recall, and 6 other recalls on the car I'm still paying on. I also found RECALL: Doors May Unexpectedly Open, RECALL: Engine Wiring Splices May Cause Stall, RECALL: Side Lights Inoperable/FMVSS 108, RECALL: Driver Side Child Lock May Not Function. All in all there are 7 recalls that might pertain to my Ford Focus.

So, now I have to ask myself: Is this a safe car with me carrying my two granddaughters around town. They are 4 and 10 so I'm thinking seriously on this one. Is the Ford Focus safe? I'm really learning towards NO.

As I read accounts and blogs of other Ford owners whose cars were going along at 65 and all of a sudden the steering went out - how tragic and scary is that?

I don't think I will ever drive this car again. So...my question is 'When can I tow this car to Ford'? I do not trust the car at all now. It has become a death trap; not a safe mode of transportation at all even if all of these 7 recalls do not relate to me.

So now Ford, I ask you, what can you do to help me in this situation?

Hoping it's good news as I attempt to find a ride to work tomorrow - a lovely position to be in.

I NEED HELP FORD!

Robbie McMeans
4709 Yellowleaf Dr.
Fort Worth, TX 76133
[protected]

Read full complaint
Hide full review
ComplaintsBoard
M
12:22 pm UTC

Ford disputing my warranty for my remanufactured transmission installed by dealer flammer ford.

Richard Munoz. August 20, 2018
8109 Pagoda Dr
Spring Hill, Fl 34606
[protected]
Email: [protected]@hotmail.com

Re: 2004 Ford Freestar Vin 2FMDA52293BA64712. Installation of a re-manufacturer transmission-4F2Z-7000-ABRM.(transmission has a 3 year warranty). FORD not honoring warranty...

To whom it may concern,
This letter is in regards to a service I had done to my car back in January 16, 2016 because this day I tried to drive my car and when I put car into reverse it didn't seem to engage.
Installation of a ( DF2Z-12A650) BARM re-manufacturer module- (engine control EEC) in which it cost me an additional $800. But this wasn't the problem. As it turns out the problem was the transmission. See the inclosed invoice. Service done by FLAMMER FORD of Spring Hill Inc. 3335 Commercial way, Spring Hill, FL 34606. [protected]. Registration No. MV-02426. Service advisor Joshua Archer 4856. Invoice 236538.

On August 08, 2018, on my way home from doing errands for myself I got in my car started it up, I put my vehicle in reverse to back out of my parking spot. when I put my vehicle in drive my car did not move forward in drive, I shifted down to second the car still didn't move forward. I then shifted into first gear and the vehicle did move forward and drove forward. At this point I drove my car straight to Flammer Ford immediately. I arrived at Flammer Ford spoke To Mr. Micheal Stults service manager. he stated the vehicle needed to be inspected and he would have to remain with my vehicle over night and will call me with results the following day. The next Day The service manager called me in the late afternoon; I decided to go to Flammer Ford with my son. Mr. Stults stated there is water in the transmission fluid. He showed us a mason jar that had about 2 ounces of fluid that looked like maroon in color. On the service invoice it states quote "transmission has water in it, fluid looks like a milk shake". Quote. That's not what My son and I saw in the mason jar.
Through the course of my lifetime driving cars, I have found that every time oil and antifreeze or water mixed, always found a little white milky substance. if there was water in my transmission, it was put in by someone trying to avoid a warranty repair.
Their first test was to confirm that the radiator and cooler didn't have a leak of antifreeze into the transmission In Which in this case the fluid would turn milky white... According to the invoice quoted " we pressure tested radiator and cooler, held pressure- good. unknown how water got in transmission fluid"... We asked how could water get into the transmission on a perfectly sealed unit. The answer we received was they don't know how water could get into the transmission fluid. Mr. Stults did state that he checked my vehicle for water damages and couldn't find any water damage. The re-manufacturer transmission only has 8600 miles in 2 1/2 years since it was installed. I use my vehicle to go to my doctors appointment, pickup my meds and food shopping.

It took over one week for FLAMMER FORD to get back to me and tell me that the warranty will not cover my transmission. I'm 81+ years old and on a set income living alone. I need my vehicle. I feel that I am being taken advantage of.

Mr Stults stated we needed to contact Corporate Ford at
[protected] and request a case number and that's what we did. The service manager stated that because there was water in the transmission fluid the warranty was not going to be covered, making it null and void to replace the transmission. I will mention on January 16, 2016 prior to replacing my transmission. my car was serviced by FLAMMER Ford for a similar issue slipping transmission and I was told my computer module needed to be replaced and so They did replace it, it cost me $800 extra and at the same time the transmission was done also. Now 2 1/2 years later I still have the same problem.

So I decided to research and contact Ford Corporate office and got the case number, which is CAS-[protected]. In my research I came across Fords limited warranty statement at www.fordinstallersupport.com. For 2004/2005 remanufactured engines and transmissions page P-12. under:
Complete gas engine long block assemblies(6006/6v012) and transmission assemblies (7000/7V000/7003) it states:
* 36 months or 36, 000 miles from warranty start date, which ever occurs first. Ford will cover 100% of all parts and labor at approved warranty reimbursement rates.
* if installed by a dealer, reasonable towing charges (up to 35 miles or to the nearest dealer) are covered only if the vehicle is not covered under another towing insurance coverage.

The service that I got from FLAMMER Ford is unfortunate. Only because I am a loyal customer who has purchased vehicles in the past from FORD. I bring my business to them for service. I've owned 4 Aerostars. One ranger, one Econoline, all vehicles for my Appeal Locksmiths LTD business in New York in which all Vehicles serve me well. From 1988 to 2004. I have owned over eight vehicles from Ford dealerships. And the service that I'm receiving now not honoring my warranty is shameful.

I'm upset with FLAMMER FORD giving me the run around. I decided to have my vehicle towed by AAA to JEFF's transmission at 4320 Osborne Ave, Tampa, FL 33614. [protected]. On August 21, 2018 Jeff's transmission did confirm water in the transmission. But does not know how we got there.

In addition to sending this to you, I will file a complaint to Better Business Bureau, to Consumers Affairs and to Ford corporate office. It is my wish that this case is investigated in depth and find how I can get resolved and have my vehicle fixed. The vehicle has less than 9000 miles in less than 2 1/2 years and there's no way that any transmission can break down because I am 81 years old with a safe driving record and a careful driver. Otherwise I will remain without a vehicle because I can't afford to purchase another and have to rely on my daughter to do my errands and take me to my dr. appointments. This is an inconvenience for her. I'm independent and I want my vehicle to be fixed.

Read full complaint
View 0 more photos
Hide full review
ComplaintsBoard
E
12:21 pm UTC
Verified customer This complaint was posted by a verified customer. Learn more

Ford 2011 ford edge

06/2012 purchased a 2 year old Ford Edge Vin #2FMDK4JC0BBA91117, diligently maintained, less than 100, 000 miles . 8/14 steady orange check motor light came on, no indications, took to a local garage, made an appointment for 8/17.
8/15 going to work, after 7 miles engine got rough at a stop sign, lost power, 3 miles in breakdown lane to Rockland Ford,
Thomaston Maine, when I braked at the garage check oil, overheating light on & the engine stalled. Later found that this car I had for 4 years, almost paid off had a failed engine. $7000 for another engine. Just like that, no warning. 67 year old single & now have another car financed through no fault of mine. I am submitting another complaint towards the dealership for techniques & financing on the car & just took on.I

Read full complaint
Update by ewhilj@hotmail.com
Aug 21, 2018 12:54 pm UTC

Vin 1FMCU9GX2GUB27873- Ford Escape
8/15/18 I suddenly had an engine failure in my 2011 Ford Edge that I had for 4 years, almost paid off, well maintained, under 100, 000 miles. Internal water pump died & destroyed the engine. Very upset, disheartening as I am 67 year old single female who am now in a "underwater" loan that I am partially responsible for due to my stress & inexperience with loan process.
Complaint is the practices of Rockland Ford, 165 Old County Road, Thomaston Maine 04861. I desperately needed another car because I still need to work. I worked with sales person Tyler. I looked at several cars, test drove a few & rejected many because I wanted to stay in the &17, 000 range I had just lost approx. $15, 000 I had paid on the Edge. He found me a 2016 Escape quoted me $17, 900 approx. I decided to purchase Escape, Tyler had to leave for the day & passed info to billing. This whole ordeal was approx. 5 hours, I was exhausted, upset & clearly not paying attention to detail.
Results- $25, 724 retail price, trade in $8000. Their fancy figuring left me with a $31, 899 loan. Retail price is as much as a new Escape. These cars should go for approx. what Tyler Patterson quoted me. I am on the hook for this because of my fatigue, inexperience & yes stupidity. Someone should check into their pricing practices, how unfair. I spoke with Tyler on the 17th & he said he would check into this for me & had my back. That's the last I have heard from him. At the very least I would like someone to view this contract with the dealership. Thank you Judy Johnson [protected]

Hide full review
ComplaintsBoard
C
10:32 am UTC

Ford 2011 ford fusion hybrid (car fire)

My daughter bought this car February 2018 from Drive Time here in Houston, Texas. This car have had more issues than one can imagine. However, Sunday at midnight she was coming home from work. Exiting the around 12 mid things seem to be perfectly fine. However, at 12:30am the car caught fire under the hood. My daughter did not know the car was on fire until she gotten a call from the apartment Mgr. My daughter and her family drives this car everyday. No one thinks the worst when driving a vehicle that is supposed to be safe for your family. After my daughter contact Ford Motor complaint department. They were informed to have the car towed to the nearest Ford dealership. The dealership informed my daughter they will have the car towed, after the corporate office told her to have the car towed there to investigate the cause of fire. Now the Ford dealership and Ford Corporate office refuse to rectify the issue of how this car caught fire. I will contact the news and anything else to get the justice due for driving a unsafe car that has no recalls concerning this issue.

Read full complaint
View 0 more photos
Hide full review
ComplaintsBoard
J
8:40 pm UTC
Verified customer This complaint was posted by a verified customer. Learn more

Ford 2009 ford edge

I have been a Ford vehicle owner for over 26 years. I have had several Ford vehicles throughout that time and still have Ford vehicles. I am presently the owner of a 2009 Ford Edge AWD, VIN# 2FMDK48C79BA82107. I have had this vehicle for almost three years. There was a re-call for this vehicle for a gas tank or valve issue I had no knowledge until after I had this vehicle repaired for a gas and coil issue last year that cost me over $2000.00. I never received a letter or notification of this issue. When I reported to the dealership for a light that popped up again on my dashboard after the repairs, I inquired about it. I thought the issue was resolved with the repairs. I was told at the dealership that I would be contacted when the part came to the dealership for the recall. That call never came. After that, while driving my vehicle my engine light pops up. My mechanic re-set it to see if it was just a glitch and it popped up again. I could not get my emissions done and at this point I do not have my vehicle.
After renting a vehicle for two weeks, I discovered there was a recall on my vehicle again for the airbags. I took the vehicle to the dealer again and was told there was a recall for the airbag. I immediately went to the rental car place after the serviceman gave me a code to give the rental car business. My car is presently sitting in my driveway awaiting for parts again, this time for the airbag.
I am very upset with the way Ford has handled my issues with this vehicle. I am not happy with all of the issues associated with this vehicle. My faith in Ford products have significantly diminished. The communication of information between the corporate office and local dealerships are horrible. I have spent thousands of dollars in repairs and rental fees concerning this vehicle. I am without my SUV and presently driving a small, Toyota Corolla. I cannot travel in this small vehicle and it is a huge inconvenience.
I want Ford Motor Company to take responsibility for poor service and notification of pertinent information. After spending thousands of dollars on a vehicle and finding out it cannot pass emissions at this point, is like having a pile of steel just rusting in my driveway. All the while, I have no use of the vehicle I purchased mainly for summer trips with family and enjoyment. It has been a huge inconvenience and costly at this point to own this vehicle. As soon as it is fixed, I will sell it and I will never buy another Ford product again. I never thought I would say these words. What I really want is my money back and damages for inconvenience and extra expenses.

Read full complaint
Hide full review
ComplaintsBoard
J
1:43 pm UTC

Ford ford f150 lease

All of the regional Ford dealers are advertising a
2018 Ford F-150 XL
SuperCrew STX 4X4 $209 /mo. for 24 mos.
Ford Credit Red Carpet Lease
$3189 Cash Due at Signing
2.7L V6 EcoBoost
w/Sport Pkg. expires 9/4/18

I have contacted at least five dealers within 50 miles of my 17701 zip code and most of the salesman are not aware of the offer until I point it out and all of them say it is not available and try to steer me to something more expensive yet the ad continues to run. I want that deal.

Blaise Alexander, Murray Motors, Fairfield Ford, Independence Ford

John Winder [protected]

Read full complaint
View 0 more photos
Hide full review
ComplaintsBoard
J
11:41 am UTC

Ford the mustang bullitt

Thing arn't bad enough at Ford than why in God name do you let your franchisees
price gouge. Apparently it seems to be the American way i guess. It's utterly appalling
that you guy's would allow this practice too go on. I believe it's called capital greed.
It's not enough that the dealers make a significant mark-up. It just seems as though
it is NEVER enough. When the Hell-Cat came out Marcionne told his dealers " price
gouge over MSRP & you lose your franchise.
Futher more for a company like yours, why would you make 300 of anything in lite of
the fact that your struggeling to sell cars in the first place.
It's like trying to put tits on a bull. Well buying a SUV and it certainly will not be a ford.
As far as the Bullitt goes under present circumstances, you know where your dealers can stick it. Sincerely, John Rinaldi

Read full complaint
Hide full review
ComplaintsBoard
B
10:57 am UTC
Verified customer This complaint was posted by a verified customer. Learn more

Ford disrespectful treatment when scheduling a service appointment

To Whom It May Concern at Ford Customer Service:
I would like to notify you of my recent experience at Fox Ford in Cadillac, Michigan. I purchased a Ford Escape Titanium in May of 2017 in Grand Rapids. I paid cash for my vehicle. I moved shortly thereafter to the Cadillac area. I have been having my car serviced at Fox Ford for just over a year. Making appointments with them has been difficult as I drive a significant distance to work each day and they are not open when driving through Cadillac or when I return home. I realize this is not the agency's fault but it does make servicing a challenge for me and on occasion I have had to request a loaner care to get to work. I am nearing 80, 000 miles and wanted a full service check on my vehicle prior to the expiration of my extended warranty. I called for an appointment and was given a date of service for Tuesday, August 13, 2018. I arranged for a service car to be picked up the evening prior, just before closing time. On Monday, August 12, I was returning from out of town and called to let the dealership know I would be very close to making it and to inquire as to what I could do if I was ½ hour late due to significant traffic back-up with construction traveling from Detroit, MI. I spoke to a gentleman named Gunner who notified me that I did not have a service appointment on August 13, that I had not arranged for a car and that they did not provide cars for this purpose and that it would have been a $35 per day charge. I did attempt to explain that I had made this arrangement for service needs in the past and had never been notified of need for more than 1 day of service of a lease rate for the day. Gunner indicated that this verified I had not made this arrangement. He also corrected me on my terminology of the service I was requesting, stating that I should have requested, "A 35, 000 mile all point inspection". When inquiring what my options were he indicated he would need to speak to Matt and they would call me back. At no time did I receive an apology for the appointment I had that did not get onto the schedule or of the inconvenience this caused me.
I did not receive a call from the dealership so called them back on Thursday, 8/16/18. Gunner again answered. When I again requested to know my options he reported that Matt was currently working and he would go to speak to him now and be right back. After a long wait, a nice gentleman named Mike picked up the phone and asked how he could help. When I responded that I was waiting for Gunner he notified me that Gunner had just left the area to assist a customer. This required me to report the entire challenge to Mike who patiently listened and arranged for me to have a service appointment on Saturday, August 18 and that would not provide transportation challenges related to my employment. Mike did explain that there had been a recent change in policy for the loaner cars and that there was now a charge of $35 per day and the cars were most frequently used for services lasting over several days. I appreciated the manner of explanation that Mike provided and his helpful attitude. However, Gunner was very disrespectful in his lack of assistance for me and in the manner he spoke to me. Both my husband who listened to our conversation on Monday and a coworker who heard my conversation with him on Thursday were surprised at the manner I was spoken to.
As I look toward purchase of another vehicle in the near future, this gives me pause to working with Ford again if this is the customer service I can look forward to. I am hopeful that other customers receive services with greater respect and appreciation for their time and loyalty to the Ford name.
Respectfully,

Christine Bennett

Read full complaint
Hide full review
ComplaintsBoard
A
9:41 am UTC

Ford scam at lugoff ford in lugoff south carolina

My complaint is with lugoff Ford. My mom traded her equinox to Lugoff ford for a ford taurus with this store. They intially traded her truck and only gave her around $3500 for the trade. But ended up putting that money back into the price of the new vehicle with warranties and fee. also They were unable to get the car registered and have gave her a loaner car until they are able to get the car registered but she is still making payments on this car. It has been 5 weeks or more and they are still unable to get the car registered.

Read full complaint
Hide full review
ComplaintsBoard
P
9:49 pm UTC
Verified customer This complaint was posted by a verified customer. Learn more

Ford extended warranty

My vehicle has extended warranty coverage for another 7, 000 miles. My car recently started cutting off and then wouldn't start (all in a matter of 30 minutes). I had it towed to local Ford dealer. Guess what...needs a new motor. I was told that I needed to provide 60, 000 miles worth of service records. I worked as a travel nurse for almost 3 years and I am expected to remember where all I had my car serviced? And, I am sorry, but I don't keep receipts. What I do know, is that my car was serviced...sometimes before it needed to be. And now, without those records, Ford isn't wanting to pay to have my car fixed despite it being under warranty. I love that car, but you can bet that I will not pay out of pocket for something that is under warranty! This is a scam if you ask me. I even had to pay out of pocket for a rental car even though it is covered under my warranty as well. My car has been down there 2 weeks now and nothing is being done because it is too expensive of a repair. I just want my car fixed like it is supposed to be...just another way for Ford to pass the buck! Not a very happy person since I am now without a car!

Read full complaint
Hide full review
ComplaintsBoard
K
2:12 pm UTC
Verified customer This complaint was posted by a verified customer. Learn more

Ford service at ford jamaica queens

I brought my explorer to have the pillar panel fixed at queens ford service in jamaica. This is about the fifth time i brought my car there for something to be fixed where i had to go back again to have is fixed for the same thing. The mechanics are incompetent and the service is ridiculous i feel not only don't they know how to fix anything but they try to get you to do jobs the same as you had done a year ago and to be honest in the beginning i let them do it until i see they there is no way they ever do half the things they charge you for.
They broke off the wheel locks on my truck and made me buy another set. I was told to come back this morning to re fix the pillar panel on the windshield and guess what i have no car they said not until monday. I brought the car in 4 times for a leak on the passenger side and to no avail nothing was fixed if they don't know how to fix anything they should be fired. By the way i had the wasted extended warranty which i was a sucker for in buying.This is uncalled for and so glad my new car purchase where we were leaning to an escape turned out to be a volkswagen.

Read full complaint
Hide full review
ComplaintsBoard
L
8:47 am UTC

Ford 2016 ford fusion check engine light

Two months ago my check engine light came on. My car only had 31, 000 miles so I knew it was still under warranty. I took my car to Sheehy Ford Ashand to fix the issue. Well two months later and 5 visits the issue have yet to resolved. Sheehy Ford has had my car longer than I have in the last two months. Each time only giving me a loner car twice even though I have the VIP package. Each time I drop my car off I get the same excuse. They either can't find a problem or they cleaned the coils and that should have fixed the issue. In my opinion all there doing is clearing out the sensor to turn off the light. My warranty expires in Novemeber and I have yet to have my problem fix. This Monday I go backfor visit number 6 because my check engine light cameback on last night.

Read full complaint
Hide full review
ComplaintsBoard
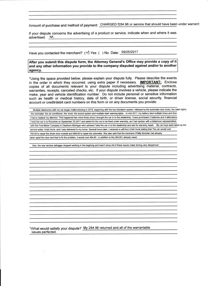
M
9:02 pm UTC

Ford 2008 mercury grand marquis 10 year repair warranty driver door module

THIS IS SIMPLY ANOTHER COMPLAINT THAT I FOUND SIMILAR TO MINE. The Complaint in detail is attached at the bottom in the file attachments.

Asked by zulater350 May 11, 2015 at 02:16 PM about the 2008 Mercury Grand Marquis LS
Question type: Maintenance & Repair
My 2008 Grand Marquis has a strange
problem. The tire pressure sensor is
indicating a fault with the system at the
same time the door lights when open do not
work, the key fob to open the doors does
not work, the drivers key pad does not work,
the mirror and rear window heat doesn't
work, and the heater panel back lights are
full bright.
3 Answers

N1401A

Read full complaint
View 0 more photos
Hide full review
ComplaintsBoard
A
2:00 pm UTC
Verified customer This complaint was posted by a verified customer. Learn more

Ford scam in ford venne when providing service

I have a ford Fiesta that does not want to start because it indicates that "vehicule is not in Park" when in fact the shifter is in Park. 18 Jul 2018, I went to VENNE FORD in Repentigny in CANADA to repair the car. They told me that TCM should be changed as was a call from Ford Company. They also changed several things that they said on call. When they billed me, they charged me 2 hours just trying to put the car in "Neutral" to enter it into the garage. This is what is stated in the bill. Although, the shifter can be put into neutral just by a simple click. I know how to do it and I think that the Mechanics can do it too. I found that this is a scam and discussed with the Agent this issue but he does not want to know anything. I also tried to call the Agency Boss but could not get to him/her. I know that once the TCM is changed, the shifter can be moved and the car will departure because it will not show that the Vehiclue is not in Park. This is what I have learned from reading a lot on this issue.

Read full complaint
Hide full review
ComplaintsBoard
D
7:09 pm UTC
Verified customer This complaint was posted by a verified customer. Learn more

Ford 2018 ford explorer platinum satellite radio

I purchased a new 2018 Explorer Platinum in February. Early August the satellite radio completely quit. When they ran diagnostics, it resulted in code "SSM 47451", which basically says "we are aware, do not attempt repair at this time"... Ford Motor Company refuses to send dealer a replacement radio, so I have a $55k Explorer without satellite radio. They tell me to wait indefinitely for "a fix". A week? A month? A year? Maybe never?... It has already been several weeks... I just want an operational radio in my brand new vehicle. I want what I paid for, and Ford is ignoring the warranty.

Read full complaint
View 0 more photos
Hide full review
ComplaintsBoard
K
2:50 pm UTC

Ford 2016 ford fusion -18s20

Contacted ford about the advanced notice on the gear shaft bushing cable to try and get my vehicle fixed bc I had already experienced the problem b4 I knew it had a safety recall, can't drive the vehicle, had the vehicle towed to the dealership and no one can seem to help me with this issue of getting the car fixed, helping me get a rental or anything and ford doesn't know how long it will take to find a solution for the problem so in the meantime I'm without a vehicle and this shouldn't be how things are handled.

Read full complaint
Hide full review
ComplaintsBoard
A
1:08 pm UTC

Ford service performed by ford dealership at yuba city, ca

Hello, my name is Amarjit Singh. I have 2014 Ford Escape. On 8/8/2018 I went for my oil change and coolant recall service. I dropped my vehicle in the morning and picked up later in the evening. That time it was fine. On 8/9/2018 when I was driving to work, message appeared "coolantlow". I called them and they said there might be a bubble built and it will be fine. So I stopped worrying. On Saturday I decided to take my car to them and same messages appeared. But this time I couldn't driver. Car started to shake. It was scary for me. I went there and asked if they have towing service and can get my car to look/check. and they said it's Saturday nothing can be done. If I want service I need to bring my car before 3pm. I couldn't find towing. I left my info and asked them to call me so I can discuss what have happened. I went home and called a friend. Upon opening the hood, I discover they never put coolant. I was very disappointed. This is not their first mistake. Last time they left lights running and battery drained. They blamed on me that I left them on. I question that they never check? Before that when I went for oil change they forgot to change the filter. At that time when they brought car to me for pick up I asked why there is filter on my dashboard and they said oops we forgot.
This is dealership. How can I trust them? Every time there is something. I leave my car for whole day and they still can't do it right. According to them their best worked on my car. If this is best I don't know what is bad.
Someone should be contacting me. But not once their managers or anyone called. Not single time. Even as of this day.
I am writing this hopefully someone will care and will contact.
I always owned a ford but now you have lost me and my friends as a customer.

Amarjit Singh

Read full complaint
View 0 more photos
Hide full review
ComplaintsBoard
J
11:29 am UTC
Verified customer This complaint was posted by a verified customer. Learn more

Ford 2013 ford fusion

Our 2013 Ford Fusion caught on fire two months ago ( 6/10/2018). We had it towed to a mechanic that regularly maintenance's our vehicles and contacted our insurance. The adjuster accessed the damage, cut the Insurance check and the mechanic ordered the parts. Were now on two months waiting for Ford to manufacture a wire harness because this is not a stock part. In the meantime we have tried to contact Ford ( talked with 5 different customer service representatives) and get nothing but a "stone-wall", given a "claim number" response and a promise of a call-back in 24 hours that never happens. Now I've found out that there is a re-call regarding the coolant system that can cause engine fires and I again have contacted two Ford service managers regarding this and guess what...nothing. The mechanic is also at his wits end, dealing with what he calls a " no win situation" and said he's never seen anything like this.

At this point, I will never purchase a Ford vehicle again. Not only has this caused me unnecessary extra rental car expense, deductible and inconvenience, I am now forced to purchase some other form of transportation to get me buy until Ford decides to "manufacturer " a wire harness so that this vehicle is operational again. I am positive when I go to trade this lemon in, I will again lose money on a trade in due to the engine fire.

I am not a person who is a "brand follower", meaning: someone who believes one brand is superior than other based on opinion. But as of now, I am. Ford has done nothing to instill in me that they value their customer regarding issues after the sale, back their product or follow through with there follow-ups on claims.

Pete Stojak

Read full complaint and 2 comments
View 0 more photos
Hide full review
2 comments
Add a comment
C
C
Cher M
US
Send a message
Aug 21, 2018 10:40 am UTC

Please see pictures

View 0 more photos
C
C
Cher M
US
Send a message
Aug 21, 2018 10:39 am UTC

This is really sad. My daughter's car was a 2011 Ford Fusion Hybrid. Ford sells junk cars. I never have purchased a Ford in my life. The acronym is true to its name Found On the Road Dead. My daughter's car caught fire on August 19, 2018 at midnight. I see now there are no ramifications here. Until it claims a life then will we see action from Ford. But why wait until then when they have a chance to correct this issue.

About Ford

Ford Motor Company is a global automotive industry leader that manufactures and sells vehicles under the Ford brand. Their product lineup includes cars, trucks, SUVs, and commercial vehicles. Ford also offers financing through Ford Credit and automotive service for maintenance and repair. They are known for innovations in mobility and electrification.
Trust badge
Collect Your Trust Badge
Be recognized for outstanding customer service
Ford Category
Ford is ranked 2 among 634 companies in the Car Dealers category