Menu
Write a review
File a complaint
Mr. Cooper Profile

Mr. Cooper

www.mrcooper.com

Learn how the rating is calculated

2.7

Overall reputation rating based on reviews and complaints

Mr. Cooper has an overall reputation rating of 2.7/5 based on 14 reviews and 560 complaints, indicating that the majority of homeowners are somewhat satisfied with mortgage services.

Claim Your Business
Take control of your profile: address complaints and engage with reviews
Write a review File a complaint

Mr. Cooper Complaints Page 4 of 28

ComplaintsBoard
C
1:52 pm UTC
Verified customer This complaint was posted by a verified customer. Learn more

Mr. Cooper Exiting forbearance nightmare

We placed our loan in forebearance Oct 2020 because I was unemployed. In Sept 2021 we started working with Mr Cooper on options. We had only missed four payments. This set us into a whirlwind of miscommunication and lack of employees understanding any of the partial claim or loan modification procedures. I had to borrow money to get caught up because mr Cooper employees threatened to report us as late payments and ruin credit. I do t think that is how US government intended Mr Cooper to help people. I was told to stop making payments because it messed up paperwork and had to start partial claim over. So after many calls and many different reps telling lies basically about the process, I borrowed the money and paid Mr Cooper what I owed them.

Desired outcome: Mr Cooper to acknowledge poor service and review recorded conversations where I was told so many lies about the process.

Read full complaint
Hide full review
ComplaintsBoard
M
1:21 pm UTC

Mr. Cooper Mortgage improerly sold nation star /champion

Need helpt long list of people sue
nation star champion and you
have THREE different alwyer claming to be lwyaer for nationstar who out of business all lawyer are hiding in MA quting MA rules
NOT USING NH RULES

AND EVERY ONE SUEING YOU FORCLSURE FRAUD
CFPB COMLAINT 86 MILLION EVER STATE AG EVER LAWYER AND EVERY MORTAGE COMPANY ALL HAVE DIFFERENT NEED SAW ON NEWS YOU SIAD THE RE LONG LIST OF PEOPLE MAYBE EVERY NOT INCLUDE
WELSSFARGO SOD TO CHAMPION /NATION EVERY STAE SAID YOU SHOULD CEASE AND DESIST OR ADD YOU TO CASE
Ilegal forclore no proper nootice of forclosure no reguired on site sale in NH
sold third part never came refused payment
ther is also many banking complaints too HUD coplaints are you respondisable
ALL ADA title IV violation
two different lawyer saying the repesnt you and nationstar out of businsss in 2017
both in fighting in NH Court one forclosure lawsuit me
othe being evicted for wrong forcloste
both say they represent you nation star
Mirriione - Shaughnessy Uitti
2 Battery march park
Quincy MA 02169
ORLANS PC
PO BOX 540540
Waltham MA 02454

AMS claiming be new mortgate company
also debt charged off tototally differnt tax ID
you might be brought tax fraud too
you have been ok becuase Covid
request investigation

Desired outcome: please look my situation CFPB sayx should cease or be fined again

Read full complaint
Hide full review
ComplaintsBoard
J
9:29 am UTC

Mr. Cooper Late Fee

I mortgage was just transferred to mr.Cooper and they are telling me I owe a $10 late fee from my previous mortgage service provider since November of 2020. It is currently November of 2021. I've been told by there customer service personnel on two occasions that they are going to remove this late fee, then the same person gets back on the line stating it's from Bank of America and there is nothing they can do. Bank of America charges $25 as a late fee not $10. I believe This company MR. Cooper is bleeding people drop by drop.

Desired outcome: Apply the $10 I made towards principle on my first payment towards my princle instead of robbing me for a late fee I didn’t owe to Bank of America.

Read full complaint
View 0 more photos
Hide full review
ComplaintsBoard
W
2:54 pm UTC

Mr. Cooper Customer complaint handling

I contacted Mr. Cooper my mortgage company the very beginning of my refinance process that began in October. I have since been in contact with them via email and phone at least once every week keeping them updated. I wanted them to know I was refinancing and keep them in the loop as to closing and funding dates. Unfortunately someone in the new lenders office got covid and it caused some delays. Since I had been sure to keep in communication with the Mr. Cooper office/team I told them if there were any more delays I would go ahead and make the October payment and then if any refund was due as it would be different than the payoff I would worry about it after closing. I finally heard from the loan company today and was told the closing and funding would be pushed into next week. I immediately made the October payment and once again called and emailed Mr. Cooper to update them. Imagine my shock when I was told today that they would be reporting me as late to the credit bureaus even thought that was exactly why I initially emailed and called them. Per my request they waived the late fees but what good does that do if your not going to communicate that no matter what your going to report me as late anyway? I have emailed and called a few times EVERY week and literally no one ever bothered to state this? Now I'm being told I need to wait for a manager to call me back which could take up to 3 days but that its most likely a waste of my time because they cannot help? How sad to basically tell your customers too bad too sad, don't expect to get help or a resolution. I have NEVER had a late payment on my credit history since I had to file Bankruptcy almost ten years ago due to a very horrible divorce. I work hard and take my responsibilities very seriously and could use some assistance please. I feel completely bamboozled. My first email went to this company on October 13th regarding loan [protected].

Desired outcome: Do Not Want Reported to Credit Bureau

Read full complaint
Hide full review
ComplaintsBoard
M
10:09 am UTC

Mr. Cooper Unexceptable Ploy

We received a Mortgage in 2020 and it was sold to Mr. Cooper. Since having our mortgage account handled by Mr Cooper we have had nothing but issues which they have failed to resolve. In June 2021, we noticed an escrow amount taken out of our payment. However, we do not have an escrow and we pay our own taxes and Insurance. I contacted Mr Cooper, and they said that it was added by mistake and they would remove. It was removed for 4 months and then in October it showed up again. They actually paid my insurance company even though I had made the payment. Again I called, and they said it will be removed. However, out comes November Payment request and they now have paid a insurance company another $2400 and charged us for the escrow account even though they identified it was for someone else. Hours spent on the phone and our escrow account is short over $3000, they have increased our payment and all the extra we were paying to pay down our debt is being used to pay an escrow account we don't have. Called several hours to resolve, still no resolution. For December our payment has now gone up over $400 than it should to pay our escrow. They state they have to get the money back from both insurance companies to reinstate our account. Why is their mistake costing us? All the extra payments I made I am losing interest paid, and they will not reimburse me that. S

Desired outcome: Escrow removed, money paid will reduce the interest for those months.

Read full complaint
Hide full review
ComplaintsBoard
K
12:13 pm UTC

Mr. Cooper FHA streamline refinance process.

To whom it may concern,
My name is Katharine Ingersoll I am currently a Mr Cooper client with an existing mortgage.
In June I received a letter regarding FHA streamline financing. So I called and started the process. My main reason for this refi was to remove my ex from the loan since he had signed a quit claim deed in 2014. He was removed from the deed and the title. I explain in detail to the loan person Gavin that this was my main reason since the refi really wasn't saving me a whole lot each month. It was supposed to be quick painless process I provided the information that was needed in the MR Cooper portal. Weeks went by with no activity in the act. I got an email from a Marjorie Shipley who was supposed to be my loan processor. I called her and left numerous messages for her to call me and I email her asking her to call me so I could find out what the hold up was. Never did I hear from her! I would keep in communication with Gavin Hufsey and explained the situation in numerous emails to him. I was told they were waiting for a subordination agreement that was the hold up with the process. Gavin got his boss involved James Hubner who I spoke with regarding this, at this point I was told that Marjorie was out of the office. But it did not explain why a month prior she never answered any of my calls or emails. It was just kinda pushed under the rug. So now we get to where the % rate is expiring. A new loan officer is introduced to me Hector Trevino. He at least called me a few days before the rate lock is going to expire. Stating the they had no record of bank statements (which was uploaded from day one into mr coopers portal) he also stated that to remove Robert my ex from the mortgage I needed to provide proof of death or divorce decree! We were not married and he is not dead. What does that change anything with me being able to afford my mortgage. In the paper work it had my credit score of 801 from June 10th which he also did not see! I emailed him a copy of that. I stated I could provide the w2s not a problem. But my issue was and reason I wanted to do this fha streamline was the pay stub issue. Both myself and my fiance had covid. He was on a ventilator for a month. He almost died. When he came home he needed round the clock care. He needed to relearn to walk again, had heart and lung issues. Blood clots, needed physical therapy ect. So I had to take a leave of absence from work and become his caretaker! I was able to go on PUA Unemployment and never did I not pay my bills. I have excellent credit. I stated to Gavin and James in an email my issue with the paystubs and asked since I was returning to work in Sept If I got a notarized document from my employer with my start date and my salary would that be sufficient. Two days go by and its now Aug 19th the day that the rate expires that the underwriters would not allow that! But if I had a death certificate for RObert or a divorce decree no income approval or jumping through all of these loops would of mattered. Does that make sense? I am do disgusted for what Ive been put through day after day, week after week, month after month trying to get information on a process that was supposed to take about a month. I was the one constantly emailing trying to get answers. It should never of been on the last day of % rate to expire that I was told all of this information! very disgusted. I do have all the email communication that Ive detailed in this email if needed.

Desired outcome: Approval for Ex Robert Kaminsky to be removed from my loan / quit claim deed

Read full complaint
Hide full review
ComplaintsBoard
M
5:36 pm UTC
Verified customer This complaint was posted by a verified customer. Learn more
Featured review
This review was chosen algorithmically as the most valued customer feedback.

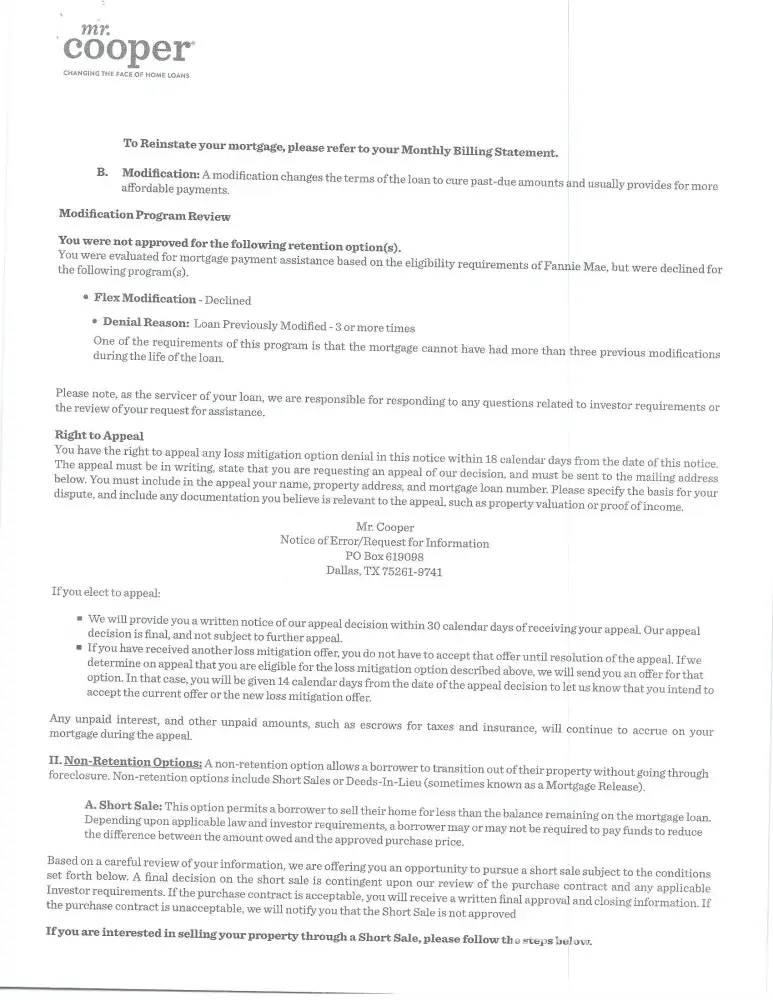
Mr. Cooper - Loan # [protected] Mr. Cooper denied a Loan Modification after Forbearance ended. The day after forbearance ended I received a denial letter that my only options were a lump sum payment or a short sale or a deed in Lieu. I have owned this home since 1993 and refuse to give it up after so much money spent in order to maintain it plus this is my...

View 0 more photos
Read full complaint and 5 comments
ComplaintsBoard
C
2:00 pm UTC

Mr. Cooper Late fee unapplied

Whenever I've paid my mortgage a few days late I get $19.39 late fee, but when I pay it I get a notice back where company does not apply fee and then expects me to pay an increased amount because of them not applying the fee I've paid.

Desired outcome: The same amount of diligence they use to collect, I want them to be as accurate and diligent in applying the funds that

Read full complaint
View 0 more photos
Hide full review
ComplaintsBoard
A
10:50 pm UTC
Verified customer This complaint was posted by a verified customer. Learn more

Mr. Cooper Bought out loan from arc

I am very angry that my mortgage was transferred, bought out or handed to Mr. Cooper. This mortgage company is not even backed by the Better Business Bureau and has had several lawsuits against them. I am pissed beyond belief that I have to deal with this crooked company! I have excellent credit and have never ever missed a mortgage payment! Please send my mortgage back to ARC. Thank-you

Desired outcome: Send my mortgage back to ARC

Read full complaint
Hide full review
ComplaintsBoard
B
10:42 am UTC

Mr. Cooper Refusal to register my home insurance.

Upon having my home loan sold for the 3rd time we landed with Mr. Cooper. I have been trying to get my home owners insurance registered with them for about 6 mos. My agent has sent the proof of insurance 2 times and will be sending it a 3rd today. I have tried to reach a human being and there is no way to speak to anyone. Mr. Cooper has to be the worst loan servicer that we have ever dealt with.

Desired outcome: Sell my loan to someone else. They suck!

Read full complaint
Hide full review
ComplaintsBoard
T
1:24 pm UTC

Mr. Cooper Forbearance plan 2020 and mortgage adjustment

During 2020 Covid, my salary was cut, Mr Cooper offered a 6 month payment forbearance plan. I only used 3 months and paid my escrow. I asked them how this would be paid back, the MC customer service told me, they can added 3 months to the end of the term or my loan or remodify my loan. In January 2021, the remodification of my loan began, after 3 months they mailed me my new contract. Ready for this? I only missed 3 payments. My new loan was at 3.75%, ready? for a 40 year term, adding $180, 000 more to my original loan payoff, my $348, 000 loan payoff would be $720, 000.00 in 40 years for missing 3 house payments. I called them and asked the rep if they would take this loan for missing 3 payments? I asked them what happened to adding 3 months to the end of my term? They told me that was not an option. WHAT? They tried to gouge me and thought I was that stupid to agree to this. Mind you, this loan did not include the 36, 000 I borrowed for a home equity loan, which should have been included by MC. I found Wyndham mortgage, they took both home equity and my outstanding mortgage, refinanced my home for 30 years at 3.2%, no points, cheaper them Mr Cooper on my primary loan for 40 years. Mr Cooper has the worst customer service reps, who do not know their jobs or services they offer and rude to their customers. Not to mention taking advantage of customers, for only missing 3 payments?

Read full complaint and 5 comments
Hide full review
5 comments
Add a comment
M D
M D
Mission Viejo, US
Send a message
Feb 25, 2022 7:10 pm UTC

They are the most corrupt despicable and stupid humans I have ever dealt with. I honestly don’t know how these people look at themselves in the mirror on a daily basis with what they do to people and their lives

R
R
Ruby Zimmie
US
Send a message
Jul 30, 2021 10:40 pm UTC
Verified customer This complaint was posted by a verified customer. Learn more

We were affected in the Las Vegas Shutdown and took advantage of forbearance early on when we were not sure how long it would go on for and elected for a 6 mo "term" The option to roll the missed payments to the end of the loan was something the rep told us to lure us in. Later, the documents stated there would be no missed pmnts added to your loan "at the end". I used to handle all the bills in our family for YEARS. Since my husband was home I told him you take it over when he now home and had free time on his hands. My husband signed up for the program. They sent out a email he never got, explaining what will happen when this forbearance is over. Then they started calling him all the time, just to check up on how we are doing during covid. As the term was ready to expire the calls increased and he told them we will resume reg. mortgage pmnt Sept. 1 and you just add the amount to the end of the loan. MANY times he said this to every rep he spoke to. They would say, sure no problem, we will talk to you soon. And Hang Up. I called again today to get the story straight for myself and it was then I took note of what we had really done to our selves. She kept referring to us as "In default", "Past Due, and asked 4 times if our financial situation has been resolved. I said yes, it has...4TIMES. Well come to find out she is conveying to me that they will be reevaluating our ability to pay our mortgage based on 5 secret questions they will ask when we are ending the program. i said the program ends Aug. 31 2021. We are DEFINITELY paying our regular mortgage pmnt. Sept. 1, 2021. Well you can do that, she says, but you will owe $11, 573, 40 plus your escrow account of $1000.00 and the regular $1100.00 Sept. pmnt. to get off the plan. This is a scam to take people's homes. The Feds need to get involved QUICK before we have 200, 000 new foreclosures nationwide due to the actions of this ONE company. We are coming up with it any way we can and as soon as we are showing "current" with them we are refinancing ASAP.

R
R
Ruby Zimmie
US
Send a message
Jul 30, 2021 10:06 pm UTC
Verified customer This complaint was posted by a verified customer. Learn more

Refinance with a reputable lender in your city ASAP!

A
A
angrythatmyloanwasboughtout
Rochester, US
Send a message
Jul 22, 2021 10:39 pm UTC
Verified customer This complaint was posted by a verified customer. Learn more

My loan was just transferred or bought by Mr Cooper. I am pissed. I have excellent credit and have never ever missed a payment. I am furious by what I’ve just read about this company!

M D
M D
Mission Viejo, US
Send a message
Feb 25, 2022 7:14 pm UTC
Replying to comment of angrythatmyloanwasboughtout

Refinance and do not deal with them -THEY ARE LIARS AND THIEVES AND WILL DO WHAT THEY CAN TO TRY AND STEAL YOUR PROPERTY. Everything I have read in here is 100% true as I have experienced it myself

Awful company that needs another hard slap from the feds.

ComplaintsBoard
A
3:18 pm UTC

Mr. Cooper Continue harassment by mortgage company

I'm continuing receiving letter to provide proof of payment on my property taxes when I send an electronic receipt that I received from NYC website. Continually, Mr. Copper send letters that the proof is not sufficient to show that I paid the property taxes. Today, I received another letter for taxes that were already paid and in which I submitted the proof already.

I'm not sure where is the disconnect between Mr. Copper and NYC property taxes, but this is a continue harassment against me for $3.55. Also, NYC tend to send any adjustment late and I have the practice to pay those adjustments on the next cycle in which is April of every closing cycle. I have done this every year with every mortgage company that hold my mortgage loan including Mr. Copper.

So I do not understand why Mr. Copper continuing harassed me with letter to show proof of payment when it is Mr. Copper mortgage responsibility to do the homework properly.

Also, I do not understand why Mr. Copper can't accept the proof from NYC that I submit every time I get asked with a letter.

I always pay my taxes on time except last year due to the COVID situation, I have to re-arrange priorities to continue with life. Last year I recognize that I paid late, but everything was up to date at the end of the cycle.

Read full complaint
Hide full review
ComplaintsBoard
C
7:18 pm UTC
Verified customer This complaint was posted by a verified customer. Learn more

Mr. Cooper unexplained escrow increase

Escrow increased one year ago, when we asked Mr cooper why? they don't have an answer. Then we were transferred to their escrow dept and they didn't know either. we then call our local tax collector and she said our property tax only increased by about $4 for the year. Then we called the company that has our homeowners insurance. That only increased $67 for the year. But we are now paying $200 more per month. over $2, 000 more per yeay. Mr. Cooper can't explain why. Please Help

Desired outcome: Refund of escrow increase

Read full complaint
Hide full review
ComplaintsBoard
B
10:04 am UTC
Verified customer The reviewer confirmed their account using Facebook. Learn more

Mr. Cooper forbearance

Several months ago I applied for a refinance thru Mr. Cooper, who currently has my mortgage. After completing all the paper work and being approved, I was told they could not go forward due to the fact I was in forbearance due to covid. I was told to make 3 monthly payments, which I did - February, March and April.

Now I am being told these checks were used to pay months while in forbearance and will not be able to take advantage of the current rates. One check was even marked "April Payment" which they put towards last December.

Two times they actually refused the online checks and sent them back to Bank of America. I then resubmitted, and they were cashed.

Desired outcome: I want to be out of forbearance and have Mr. Cooper pay the difference of the mortgage interest rate I will get vs the rate I could have gotten had they not abused the system.

Read full complaint and 1 comment
Hide full review
1 comment
Add a comment
T
T
Tim Suri
Davisburg, US
Send a message
May 11, 2021 1:20 pm UTC

I went thru some similar, read this.

During 2020 Covid, my salary was cut, Mr Cooper offered a 6 month payment forbearance plan. I only used 3 months and paid my escrow. I asked them how this would be paid back, the MC customer service told me, they can added 3 months to the end of the term or my loan or remodify my loan. In January 2021, the remodification of my loan began, after 3 months they mailed me my new contract. Ready for this? I only missed 3 payments. My new loan was at 3.75%, ready? for a 40 year term, adding $180, 000 more to my original loan payoff, my $348, 000 loan payoff would be $720, 000.00 in 40 years for missing 3 house payments. I called them and asked the rep if they would take this loan for missing 3 payments? I asked them what happened to adding 3 months to the end of my term? They told me that was not an option. WHAT? They tried to gouge me and thought I was that stupid to agree to this. Mind you, this loan did not include the 36, 000 I borrowed for a home equity loan, which should have been included by MC. I found Wyndham mortgage, they took both home equity and my outstanding mortgage, refinanced my home for 30 years at 3.2%, no pionts, cheaper them Mr Cooper on my primary loan for 40 years. Mr Cooper has the worst customer service reps, who do not know their jobs or services they offer and rude to their customers. Not to mention taking advantage of customers, for only missing 3 payments?

ComplaintsBoard
C
6:31 am UTC

Mr. Cooper unauthorized payment

They keep putting late fees on my account when I'm not late. I paid March
2021 Mortgage February 18, 2021 after sending them an email about late fees, and they put it on my account again.

Please advise,

Desired outcome: cease adding fees

Read full complaint
Hide full review
ComplaintsBoard
L
7:54 pm UTC
Verified customer This complaint was posted by a verified customer. Learn more

Mr. Cooper Mortgage / escrow

Luis Gustavo Rios Cordero
Jennifer Rodriguez Rios
317 Quarry Rock Circle
Kissimmee, FL 34758

Loan # [protected] - $253, 904.53
FHA Acct # [protected]
Osceola County Parcel R112728-[protected]

RE: Claim - Today, January 26, 2021

On Wednesday, February 20, 2021, I called Mr. Cooper to clarify the matter of being short on escrow. I was transferred from one person to another, several times, and yet nobody could get us any answers.

I currently pay $285.79 per month to cover taxes and insurance. When multiplied by 12 months, that comes to a total of $3, 429.48.
Where do you get the calculation that in December 2020 we had only accumulated an amount of $618.44?
How is it possible that our monthly payment has increased by $496.69? When multiplied by 12 months, that amount comes to a total of $5, 960.28.

We need to do a new analysis and correct this serious error as soon as possible.
We are asking you to take this opportunity to do the calculations correctly or we will find ourselves in the need to solicit assistance from our lawyers, news and media, if necessary.

Respectfully,

Luis G. Rios Cordero
[protected]
[protected]@yahoo.com

Desired outcome: New Analysis

Read full complaint
Hide full review
ComplaintsBoard
H
10:30 am UTC
Verified customer This complaint was posted by a verified customer. Learn more

Mr. Cooper Mortgage payoff/refi - unnecessary fees/poor customer service

So I'm in the process of refinancing and the title company requested a payoff from Mr.Cooper. Little did I know that Mr.Cooper charges a fee of $25 to anyone requesting payoff by fax or email. They said they don't charge for mail but it's actually cheaper to email/fax but that's just another way they're screwing their customers. I asked to file a complaint and the representative Kayla Estrella in AZ argued with me about my complaint. She said it's a fee from my investor, Fannie Mae. She asked me what she can do for me and I told her again to log my complaint. Then she said it's done and I asked for a reference number or something to provide to me that a complaint was logged in my behalf. She said she doesn't have anything to provide. Very little confidence that she logged my complaint especially since she was arguing with me the whole time. Plus this is the first time I've had a fee charged for asking for payoff. And never heard of anyone else being charged from Fannie Mae.

Read full complaint
Hide full review
ComplaintsBoard
S
4:32 pm UTC

Mr. Cooper Misinformation given to me by them

I had my loan go into forbarence and I was misinformed at what would happen at the end. My ex husbands name is stuck on theism. I was told at the end of the forbarence that I could do a modification without my exhusbands name being signed. Now they are saying I need his signature and he refuses to sign. Nobody will call me back and I can't refinance cause of the balloon amt owing.

Desired outcome: Help with getting a loan

Read full complaint
Hide full review
ComplaintsBoard
S
7:42 pm UTC

Mr. Cooper They are making it hard to get a mortgage forbearance

My conversation with Peter Francis Geraci lawyers

Your Message
12/30/20
Is what they are doing even legal isn't this a federal program. I am going to loose my house if I cant get a forbearance. They hate me and I am probably on their hit list. Is there something that can be done? I am calling Prairie State Legal on Monday. I don't know what "just no w." means your previous response. Please help me.

Megan
12/30/20
Yes, that's very frustrating and annoying. I emailed their attorney again just no w.

Your Message
12/30/20
Just tried to escalate this and cooper representatives have nothing to do with the Forbearance that PFG and their lawyer have to take care of this. This is getting ridiculous.

Your Message
12/30/20
Called mr cooper today (William in AZ @10:20am) he says they can't do anything about the forbearance you have to initiate it through the courts and the trustee now I know I'm getting the run around he says there is no record of you contacting them in the past week or so.

Megan
12/28/20
We emailed them so you should be able to speak with them. Their attorney also said that they should speak with you. Hopefully they don't give you another run around. You can try calling them. There is no recommended timeframe for the forbearance. Request what you believe is necessary.

Your Message
12/28/20
I can resume payments before the 6 months are up Yes? and is 6 months recommended or some other duration?

Your Message
12/28/20
Should I call them back now or wait a couple of days?

Your Message
12/28/20
6 months

David
12/23/20
I have sent an email to the address you provided in your recent message to request the forbearance. Just to confirm, how long of a forbearance are you requesting.

Your Message
12/23/20
I called Mr Cooper back (Don) about the forbearance duration on 12/23/[protected]@12:01am. Now he is telling me that PFG has to send an email to "legal. [protected]@mrcooper.com" requesting to be enrolled into the pandemic forbearance plan. Will you please do that. Why is this so hard?

Your Message
12/23/20
So why are they telling me that the forbearance is for 90 days when it is for 180 days?

Your Message
12/23/20
I talked with Mr Cooper (Ashley) on 12/23/20 @ 10:15am. She says the forbearance is for three months then the forbearance would take effect in 7-10 days. Thank you

Your Message
12/22/20
BS I called them first and they told me to call my lawyer because it was a bk.

Megan
12/22/20
This is what Nationstar's attorney said: Debtor has to call this number him or herself, to request a forbearance. They said they will speak to the Debtor.
They can call Issue Resolution at 888/480-2432.

Desired outcome: I want a foreberance on my mortgage so I can keep my house

Read full complaint
Hide full review
ComplaintsBoard
D
10:19 am UTC
Verified customer This complaint was posted by a verified customer. Learn more

Mr. Cooper Mortgage

My mortgage was sold from Mr cooper to a different bank. Then Mr. Cooper says that sale was in error and the mortgage is still with Mr. Cooper. The new bank is also saying they own the mortgage. I am now stuck with 2 mortgages and both banks say they own it. Neither bank is doing anything to clear up this mess. I now have 2 mortgage payments that are due on January 1st.

Read full complaint
Hide full review

About Mr. Cooper

Mr. Cooper is a home loan provider specializing in mortgage servicing and refinancing. They offer loan options for new purchases and provide tools for managing existing mortgages. Their services include payment calculations, assistance with home buying, and loan optimization.
Trust badge
Collect Your Trust Badge
Be recognized for outstanding customer service