Menu
Write a review
File a complaint
NYC Housing Authority [NYCHA] Profile

NYC Housing Authority [NYCHA]

www1.nyc.gov

Learn how the rating is calculated

1.6

Overall customer rating from reviews and complaints

NYC Housing Authority [NYCHA] earns a 1.6-star rating from 1 reviews and 313 complaints, showing that the majority of residents are dissatisfied with living conditions.

Claim Your Business
Take control of your profile: address complaints and engage with reviews
Write a review File a complaint

NYC Housing Authority [NYCHA] Complaints Page 5 of 16

ComplaintsBoard
M
10:20 am UTC

NYC Housing Authority [NYCHA] Having me long time waiting list on transfer

My name is monserrate torres I live in 204 Astoria
BLVD Apt 2F queens 11102 Astoria Housing I'm filling this complaint because I'm in the waiting list for transfer pass over a 1 year still nothing waiting and I live alone with 2 bedroom apartment willing to down side into 1 bedroom apartment and I have been calling and emailing NYCHA about my Transfer haven't do nothing I'm here waiting for them to move me

Desired outcome: PLEASE HELP

Read full complaint
Hide full review
ComplaintsBoard
R
9:25 pm UTC

NYC Housing Authority [NYCHA] Rats infront of nycha building

I am a concerned resident of Clinton Houses in Harlem, Address is 1487 Park Avenue. We have complained for the past six months about rats running in and out from in front of the building and nothing has been done.

We have children that go to school in the morning, seniors that have doctors appointments that cannot use the ramp or walk by the building because of the rats in the daytime as well as the night!

The street light is broken it's been out for a several months now and nobody has come and tried to see what the problem is. So now the front of the lobby is dark and we have big rats running by all day and at NIGHT!

No human should have to live this way!

Something has to be done. Please! Please! Help!

Concerned Citizen of Clinton Houses in Harlem

Desired outcome: FIX THE LIGHTS, GET RID OF RATS!!!!!!!!!!!!!!!!!!!!!!!

Read full complaint
Hide full review
ComplaintsBoard
M
9:34 pm UTC

NYC Housing Authority [NYCHA] Noise neighbor

Ever since these people move to 150 Lamport Blvd 2D Staten Island NY 10305.
They have make so much noise . I hurt Am 70 years I live with 2 of my grand kids 5 and 8 years also a 53 year old son he had brain surgery. Which I have to take care too.

Please I need my rest there loud what they think is music is making me feel mad and I feel I being abuse by them. Please help me or could you move me somewhere there are not people like this Please.

Desired outcome: Well love it if they just stop there noise

Read full complaint
Hide full review
ComplaintsBoard
G
11:48 am UTC
Verified customer This complaint was posted by a verified customer. Learn more

NYC Housing Authority [NYCHA] bathroom and first bedroom damaged because flood and deteriorating walls

my walls are falling apart due to constant floods from the idiot above me.. my son's bedroom has water damage and water was coming out the walls.. they send someone to look at it and nobody ever comes to ever fix it.. the water is literally just gushing out as I type right now. nobody fixes anything at Abranham Lincoln houses. I've been putting in tickets for this for years and nothing has been at all. my son's room is disgusting looking the paint has run down the walls.. the walls are literally crumbling and nothing has been done.

Desired outcome: I would like it fixed and tomove this lady to the first floor where she can't damage anything

Read full complaint
Hide full review
ComplaintsBoard
L
5:00 pm UTC
Verified customer This complaint was posted by a verified customer. Learn more

NYC Housing Authority [NYCHA] Broken mailbox

We cant receive mail dou 2 it jam

Read full complaint
Hide full review
ComplaintsBoard
L
8:22 am UTC

NYC Housing Authority [NYCHA] Leased Housing Department

After my numerous mgr complaints, i was Contacted by mgr Tiffany Rivera who did not follow through and lied about several things including false back claims and promises of call backs.

Adela guralnik
0566957
[protected]
3-6 pm

Desired outcome: Urgent Nycha administrative call back for further complaint and assistance

Read full complaint
Hide full review
ComplaintsBoard
7:39 pm UTC
Verified customer The reviewer confirmed their account using Facebook. Learn more
Featured review
This review was chosen algorithmically as the most valued customer feedback.

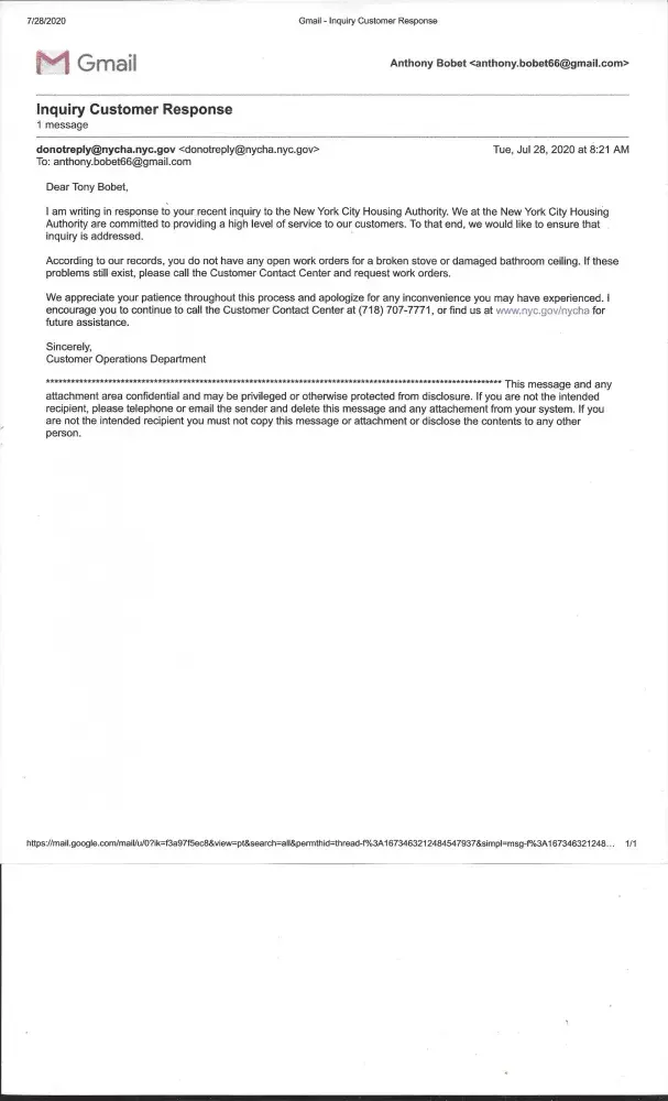
Dear Sir/Madam: My name is Tony Bobet. I resided at 1710 Seward Avenue, Bronx, New York City 10473, Apartment# 5-G. I am filing a complaint to New York City Housing Authority. They are located at 1720 Seward Avenue, Bronx, New York City 10473. My main reason of filing this complaint because of lack of heat and force entry into the apartment. I don't know...

View 0 more photos
Read full complaint
ComplaintsBoard
S
10:34 pm UTC

NYC Housing Authority [NYCHA] Water leak to electrical outlet to fallen cabinet

The water leak in the bathroom started in October 2020. maintenance 10/22/2020 gave ticket # 76027689, 76030869. The water started dripping out from the electrical outlet. The guy came and say he will fix the leak and don't touch the outlet so you don't get electrocuted. Leak continued. The same bathroom wall behind it is the kitchen wall with a big cabinet. Due to the leak not fixed the wall was weaken, on 10/26/2020 evening the entire kitchen cabinet fell off the wall onto the counter almost hit my mom's head then fell to the floor. On 10/27/20, call maintenance ticket #76163096. On 10/29/2020, call to check on status of water leak and when cabinet be fix. I was told all tickets closed. Water leak continued, another ticket created 76229039, then 11/4/2020 ticket 76555869, then 11/8/2020 ticket 76617922 and 11/23/2020 ticket 76837090. All these tickets were created for the same bathroom and outlet water leak since October. These tickets were all automatically closed with nobody coming to check or fix the leak after the cabinet fell off the wall. Dusts and Debris continued to fall in the kitchen while cooking. Called multiple times to complain to maintenance, email and also spoke with housing assistance Gladys More. My mom has asthma and had lung surgery. This is no safety living condition for an elderly during COVID when encourage all elderly to stay home. We pay rent and should not be living in this condition. How is this health safety compliance?
Feel free to call me at [protected].

Read full complaint
View 0 more photos
Hide full review
ComplaintsBoard
S
5:08 pm UTC

NYC Housing Authority [NYCHA] The leak in the pipe over my toilet

Carla Parsi
East River Houses
429 East 102 Street Apt 2B NY NY 10029
[protected] Email [protected]@gmail.com

Let me start from the beginning, on 9/11/2020 I contacted the customer contact center because there was a very bad leak leak in the pipe above toilet They came did something to repair it but, it still kept leaking on&off.

On October 24, 2020 the leak was extremely bad and I called the Customer contact number once again and got another ticket number 754-17-137, they came to look at it but nothing was done to remedy to situation.

Today today 11/10/2020 at around 11:30 AM the pipe is leaking again and this time the leak is so bad that the walls, the bathroom door are soaked and as is the laundry in my hamper. Not to mention that I have to empty the bucket I placed atop my toilet to catch the water needs to be emptied every 20 minutes and I've run out of Newspapers to put on the floor I might also add that the bucket does little to stop the water from soaking everything in the bathroom. I called the customer contact center and got a ticket number 766-446-22 I also called my housing assistant Valerie Murray and she told me that she will talk to the super of my development and that he will send someone to look at it no one came I called her again at 3:30 PM and she said she spoke to the super and that he was sending someone over and when I told her no one came she said she will talk to him again. but as of 5:00 PM no one has come.

I am beyond angry, I am livid because No one should have to live this way! I do not understand how NYCHA allows the supers and maintanance people to disregard our calls for emergency repairs as well as others They close tickets but do not show up. I pay my rent every month on time therefore, I demand to be treated with respect.

I have unfortunately been living in East River for over 1o years and there has not been a time throughout those years that I call in a ticket and it is closed and the repair is not done. I have a very long list of ticket numbers as proof.

I expect to hear from you in as soon as possible since I am considering taking my complaints to a higher authority

Read full complaint
Hide full review
ComplaintsBoard
B
11:24 am UTC
Verified customer This complaint was posted by a verified customer. Learn more

NYC Housing Authority [NYCHA] Unethical behavior

I have a complaint about a neighbor. At Marlboro Houses in Brooklyn. At building 2. My neighbor in apartment 10b has been smoking pot everyday at all different times of the day and has most importantly a motorcycle outside close to my door on the terrace locked on to the gate . He brings the the motorcycle at night so house rep don't see him bring it to the building. The problem is my brother is in a wheelchair & has a heart condition and breathing problem so that smoke comes in the house. Also in case of an emergency or a doctors appointment he will not be able to pass the motorcycle on his wheelchair their is not enough room. This is a young person who does not listen to anybody we have complained to him. I have try contacting management but they don't answer the phone or are too busy. I added a photo of the motorcycle outside my door.

Rep

Read full complaint
View 0 more photos
Hide full review
ComplaintsBoard
B
7:00 am UTC
Verified customer This complaint was posted by a verified customer. Learn more
Featured review
This review was chosen algorithmically as the most valued customer feedback.

Constant leaks from the apartment above have rendered my ceilings a mess of cracked and peeling plaster. Multiple tickets have been issued for repair to the NYCHA property and brought to the attention of our Housing Assistant. It has taken a year of tickets to finally get the repair done. Finished July 6th, 2020, August 20, 2020 the ceiling is beginning to...

Read full complaint
ComplaintsBoard
N
5:14 am UTC
Verified customer This complaint was posted by a verified customer. Learn more

NYC Housing Authority [NYCHA] Maintenance worker living in the carriage room keeping me up no w for 2 years.

My name is Nadine Neblett. I lives @ 185 wortman ave apt. 2i brooklyn. I've been complaining for 2 years about the loud workers and especially the worker that's living in the carriage room. I'm ok with the contractors doing their job, but when they leaves, this maintenance worker comes in and keeps my floors shaking all night. Especially my bed. Management denied anyone was down there at night. Not true! I'm diabetic and I he vibrations keeps both my feet numb and tingling all night that till he leaves in the morning. My bed jerks and moves even now while typing and I can't sleep. 2 years and not getting any help.

Read full complaint
Hide full review
ComplaintsBoard
5:06 pm UTC
Verified customer The reviewer confirmed their account using Facebook. Learn more
Featured review
This review was chosen algorithmically as the most valued customer feedback.

Dear Sir/Madam: Hello, My name is Tony Bobet. I resided at 1710 Seward Avenue, Apt#5-G, Bronx, New York City 10473. I am file another complaint to New York City Housing Authority. located at 1720 Seward Avenue, Bronx, New York City 10473. The management is Noelia Guarduilo and the Superintendent, Mr. Luis Torres. They are not doing their job. On March 04...

View 0 more photos
Read full complaint
ComplaintsBoard
7:59 pm UTC
Verified customer The reviewer confirmed their account using Facebook. Learn more
Featured review
This review was chosen algorithmically as the most valued customer feedback.

My name is tony bobet I resided at 1710 seward avenue, apartment#5-g, bronx, new york city 10473, I filing an complaint two places. First, complaint to new york city housing authority soundview houses, located at 1720 seward avenue, bronx, new york city 10473. Another place is the cdc: centers for disease control and prevention they're located on 1600...

View 0 more photos
Read full complaint
ComplaintsBoard
A
10:41 am UTC
Featured review
This review was chosen algorithmically as the most valued customer feedback.

I have been calling 311 for months about the woman and the man that scream the bible and preach out their window through a microphone/speaker. This has to stop. They do this for 45 minutes every day and I can't understand how no one has taken action about this or if they have, how it is still allowed to continue. I am all for religious freedom. I believe...

Read full complaint
ComplaintsBoard
6:23 pm UTC
Verified customer The reviewer confirmed their account using Facebook. Learn more

NYC Housing Authority [NYCHA] Superintendent luis torres not allowed to call

Dear sir/madam:
My name is tony bobet resided at 1710 seward avenue, apt#5-g, bronx, ny 10473. I want to file an complaint to new york city housing authority locate at 1720 seward avenue, bronx, new york city housing authority sound-view houses. I want to file an complaint of mr. Luis torres have call at my houses and the judge told the assistant manager that mr. Luis torres. He call me on june 10, 2020. Here is number# [protected]. And, he try to hide his voice.

Read full complaint
Hide full review
ComplaintsBoard
7:35 am UTC
Verified customer The reviewer confirmed their account using Facebook. Learn more
Featured review
This review was chosen algorithmically as the most valued customer feedback.

Dear Sir/Madam: My name is Tony Bobet I resided at 1710 Seward Avenue, Apt#5-g, Bronx, New York City, Telephone number# [protected]. I am here to file complaint on New York City Housing Authority ( NYCHA ). They located in 1720 Seward Avenue, Bronx, New York City 10473. The reason I am filling this complaint because I have a bath tub is clogged and I have...

Read full complaint
ComplaintsBoard
3:05 pm UTC
Verified customer The reviewer confirmed their account using Facebook. Learn more
Featured review
This review was chosen algorithmically as the most valued customer feedback.

My name is Tony Bobet. I resided at 1710 Seward Avenue, Apartment#5-g, Bronx, NY 10473. I am filling an complaint at New York City Housing Authority that no heat in the apartment. They were heat in the apartment for a short awhile. Here is the tickets# [protected] from April 10, 2020. And, on April 11, 2020. I call for heat and hot water. And, I have the stove...

Read full complaint
ComplaintsBoard
6:45 pm UTC
Verified customer The reviewer confirmed their account using Facebook. Learn more
Featured review
This review was chosen algorithmically as the most valued customer feedback.

Dear Sir/Madam: My name is Tony Bobet I resided at 1710 Seward Avenue, Bronx, New York City, 10473, apt#5-G. telephone # [protected]. I am filing these complaint from people. First, person is Noelia Guardiola the manager of Soundview Houses and Superintendent, Luis Torres. They located at 1720 Seward Avenue, Bronx, New York 10473. Telephone# [protected]...

Read full complaint
ComplaintsBoard
P
6:05 am UTC
Verified customer This complaint was posted by a verified customer. Learn more

NYC Housing Authority [NYCHA] Plasting

I have submitted numerous of tickets and complaint regarding a leakage within the walls of my bedroom closets, service workers had come and stated they would submit a follow up on the problem. No has done anything regarding a follow up, and due to the lack of concern the problem is worst, I can sleep in my bedroom due to molding smell. Tk# [protected], which was cancel without NYCHA Repair investigation, [protected]. The problem is with in the walls, a contractor and plumber must be issue out. The whole closet must be reconstructed, due to water damage. I have pictures. NYCHA has neglected this problem for over 2 1/2 years. If I still get no response from Housing repair, then this become a legal matter for the courts.

Read full complaint
View 0 more photos
Hide full review
Trust badge
Collect Your Trust Badge
Be recognized for outstanding customer service

Most discussed NYC Housing Authority [NYCHA] complaints

Broken refrigerator
1
(opinions to this review)