Latest Reviews and Complaints
brings you in and then sells you a scam - Alan Williams
Gets you to invest and then tells story after story and excuse after excuse
Claimed loss: $6000
Desired outcome: Jail - some money back would be nice
Recommendation: jail and some $ back
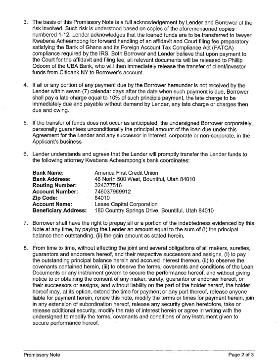
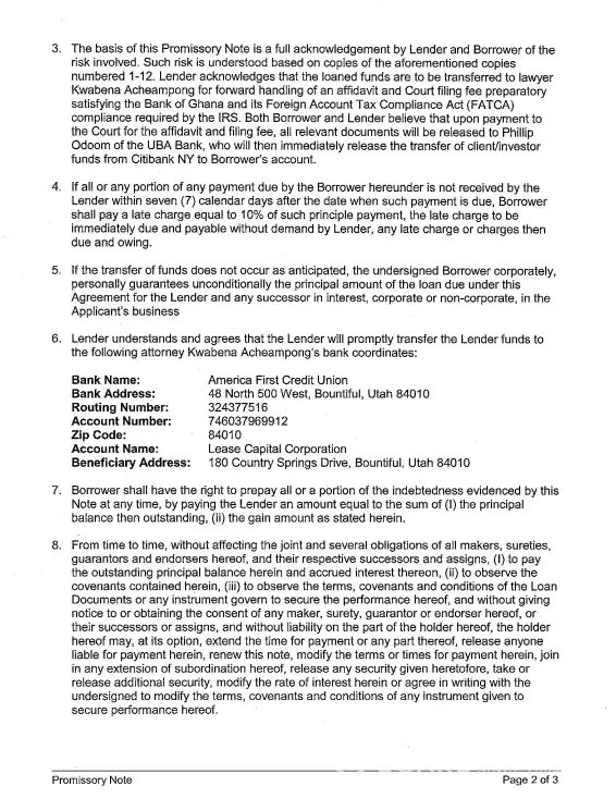
Confidential Information Hidden: This section contains confidential information visible to verified Money Mastery / Time & Money representatives only. If you are affiliated with Money Mastery / Time & Money, please claim your business to access these details.
Not delivering the promise, all sales hype
they sell you something that promises a lot but they only give you the boot camp and you need to buy more products after that. Company promises coaching but none prevalent, twist their words once you ask them about it. Main guy is KC See & Ernest Wong. They are very good at sales, promise lots of things during sign up but delievr only boot camp
Beware of your hard earned money. I am a victim, what they teach can be sought after online at minimal cost, you would need to spend more money but there is nothing you can do, so do not get caught up in their sweet talk
The complaint has been investigated and resolved to the customer’s satisfaction.
Money Mastery bootcamp is designed to help you make paradigm shift about the way you think about money. They created 3-Days experiential learning by providing participants a safe environment to learn, aware and reflect on the way they make decision when it comes to pursuing their financial goals.
This bootcamp is not only teaching you how to become wealthy but to realize your passion in life, doing what you love to do, get paid at the same time get well protected financially.
People attending this camp with different objective, to find their direction in life, to become wealthy, to give their loves one a better life, to make career or business changes, to help impact community but have limited resources and so on...
What's your intention when you join the bootcamp?
P.S: Buying more products is completely optional. Bootcamp itself is sufficient for you to transform your life. (My humble opinion and personal experience)
did u join the bootcamp?
21 Money Mastery / Time & Money Complaints
How do financial learners rate Money Mastery / Time & Money?
Money Mastery / Time & Money’s earns a 4.1-star rating from 1 reviews and 21 complaints, showing that the majority of financial learners are very satisfied with educational content and strategies.
- All
- Reviews only
- Complaints only
- Resolved
- Unresolved
- Replied by the business
- Unreplied
- With attachments
Stay away from these crooks
Apparently I should have come here and read this board before jumping into the pit with all of the others I see here. I, too, sent them the buck ninety-five and am now unable to go Christmas shopping today as planned because these thieving ### just tagged my checking account for nearly all of what I had planned to spend for my two grandsons. I just found...
Read full complaint and 9 commentsunortherised charges
real player and its affiliated companys money mastery has taken over 400 dollars some for 56 dollars others 38 dollars and more dont ever ask real player for your pass word each time they ask you to enter the last 4 mumbers on your credit card thats when your charged different amounts i have been lucky my bank picked up on it and is now investergating the froud by money mastery or it also goes by the name of search income /money mastery just stay away from this company thats why they ask you to leave your cookies read the terms and conditions befor you enter into any contracts they pray on people who donloading without reading for a quick installation dont be stupid like i was
The complaint has been investigated and resolved to the customer’s satisfaction.
random and frequent withdrawls form my c.c account!!!
I recently signed up for a $1.95 service with Google Adwords and Adsense to find out how to make money from home online. ...But a few days later I was shocked to find out that my credit card account had 4-5 withdrawls within a two week period for an amount totaling $94.35 ! Can you believe this?
...I didn't even make one cent to my name with this work at home crock, nor did they give simple or legitamate instructions on how to go about this type of deal. It obviously has quite a catch to it.
...But I am going to make all the phone calls I can to this confusing (MHM * Money Mastery) company which I never even heard of, I'm not even sure if it is charging me for this work at home thing?!
HOWEVER
The complaint has been investigated and resolved to the customer’s satisfaction.
I went through the same exact problem. After much research, I finally found out who is behind this scam. The name of the company is called Mars Hill MEDIA. Google them and you found out some info about them and how they are Rated F with the better business beauru in that state with similar complaints. the name of the CEO is Laura Cook. Her number is [protected] call and ask for her.
I've requested a refund from the website http://www.customersupportnow.com
I've cancelled my card now too.
I cancelled my card but the bank said I need to trave the company and ask for a refund myself, but I don't know how to reach them. Is [protected] a fake number?
Please help!
They Charged $ 59.84 from my one, it a rip of company
MHM*Money Mastery [protected] UT
$59.84 US DOLLAR
i called the bank to stop but they said no, then called this stupid people fight with them over the phone to get refund. & they gave it but still i didn't see on bank
beware about this spam company
I have the same problem
they took $ 60 on ma checking account and I don't why
I will see my bank in order to find a solution to this thing
Is Money Mastery / Time & Money Legit?
Money Mastery / Time & Money earns a trustworthiness rating of 100%
Highly recommended, but caution will not hurt.
We found clear and detailed contact information for Money Mastery / Time & Money. The company provides a physical address, phone number, and email, as well as 3 social media accounts. This demonstrates a commitment to customer service and transparency, which is a positive sign for building trust with customers.
By resolving 80% of 21 negative reviews, Money Mastery / Time & Money is demonstrating its dedication to customer satisfaction and effectively addressing customer issues. While there may still be some practical problems that need to be addressed, such as long wait times or unhelpful responses.
The age of Money Mastery / Time & Money's domain suggests that they have had sufficient time to establish a reputation as a reliable source of information and services. This can provide reassurance to potential customers seeking quality products or services.
Moneymastery.com has a valid SSL certificate, which indicates that the website is secure and trustworthy. Look for the padlock icon in the browser and the "https" prefix in the URL to confirm that the website is using SSL.
Moneymastery.com has been deemed safe to visit, as it is protected by a cloud-based cybersecurity solution that uses the Domain Name System (DNS) to help protect networks from online threats.
Moneymastery.com regularly updates its policies to reflect changes in laws, regulations. These policies are easy to find and understand, and they are written in plain language that is accessible to all customers. This helps customers understand what they are agreeing to and what to expect from Money Mastery / Time & Money.
However ComplaintsBoard has detected that:
- Moneymastery.com has relatively low traffic compared to other websites, it could be due to a niche focus, but could also indicate a potential lack of traffic and popularity. The moneymastery.com may offer a niche product or service that is only of interest to a smaller audience.
- We conducted a search on social media and found several negative reviews related to Money Mastery / Time & Money. These reviews may indicate issues with the company's products, services, or customer support. It is important to thoroughly research the company and its offerings before making any purchases to avoid any potential risks.
credit card illegal takings
The people mentioned above were to charge a one off fee of $1-95, now after looking at my credit card, payments have been taken of $19-99 and $59-99, there was nothing to indicate that these payments would be taken, I have therefore informed my bank and told them to reimberse my card or to take the money back from the account it was transferred to.These are legit people who are pulling one major scam.
Regards Keith Brenkley
PS Proof can be sent from credit card statement.
THANKS FOR THE PHONE NUMBER [protected] THEY CHARGED ME ALMOST 200 DOLLARS FROM NO WHERE I REALLY APPRECIATE IT
This is notify that MHM money mastery has been withdrawing money from my account every second week $66.00 each time. What can I do about it... becareful with this company.
I was charged insurance fees, on a vehicle that i carried insurance on .For two years
it was put on my car loan and i didnt even know it. Till i paid them off months in advance
on what I thought was my balance . A month later I get a late payment call at work.
call them as soon as I got home from work. I will never borrow from Independent bank and they must be connected with the insurance company which i was told was hub but really dont know. Which they took off some of the insurance fee but not the 200 dollars processing fees. So they still arguing with me about be a month late on $49.00. Oh I $.97 cents for paying it off early.
i was ripped off by mhm also who are these rogues
Unauthorized Debit Card Charges
Apparently I should have come here and read this board before jumping into the pit with all of the others I see here. I, too, sent them the buck ninety-five and am now unable to go Christmas shopping today as planned because these thieving ### just tagged my checking account for nearly all of what I had planned to spend for my two grandsons. I just found this out. I called my bank and now instead of going Christmas shopping, I have to go to the bank, have my card canceled, have the rest of my money tied up for a few days while it all gets straightened out, and there's still no guarantee of getting refunded. Even if I didn't mind spending the money, I'm still not sure of what the hell I would have been paying for. Thanks a lot you evil, Grinch sons of ###. From now on I'm going back to what I used to do and buy the Visa or MC gift cards and do my online purchasing with them. I never had these problems with those cards because when they are gone, they're gone. It costs $4.95 for one but in retrospect, that wasn't a bad price to pay to avoid situations like this one. If I don't get my money back, I'll write it off in the "Educational" category.
The complaint has been investigated and resolved to the customer’s satisfaction.
Thank u all for sharing our common issue. Can someone help me get this cancel? I get a fax tone calling the # [protected].
cc fraud
($59.84) people who charge customers a fee that they never have even seen is theft. this company is a fraud and people need to go to prison. never did i see such fraud and theft in my life. MONEY MASTERY the name says it all. DO NOT GIVE YOUR CREDIT CARD # TO THESE THEIVES you will regret it. i had a man call me after i paid the #3.00 or whatever starting fee, at the end of the conversation, he advised me that this system is probably too aggressive for me, and the next thing i know, i am charged $ 59.84 now i am overdrawn THANK YOU VERY MUCH MONEY MASTERY /INCOME PRO. # [protected] YT # [protected] ext 500 [protected]@sipandmm.com
The complaint has been investigated and resolved to the customer’s satisfaction.
omg these people are a scam i need my money back i am not working a single mom with two babies this was the last thing i needed 50$ for someone else may not be a lot but for me is a month of milk for my kids how can I get my money back ? i called them they said they could only cancel my order and not charge me $9.95 a month but i can't get my $49.95 back . My money situation is so tight right now i really really need my money back !
just called and told em to give me my money back!
tried one on me and pretended to not hear me.
couldnt find me with my name, and country and state!loser.
he asked for my last 4 digits on my card to see who i was
pfft
gave him three days to give the money back
ill call again with the utah police fraud squad
thanks for the help guys
got my money back today.
Bigs thanks to all who gave numbers and advice.
at least they were happy to refund the money without any fuss.
I also signed up from australia.
i have just called and cancelled my subscription and asked for a refund. they have said that they will refund the money and it will be in my account withing 3-5 working days.
the number to call is [protected]. the woman on the phone was very nice and i did not have any issues with cancelling.
i will update when i get my money back.
Thanks for that.
I signed up with them from Australia. A couple of days ago. When I got into the site I began to worry that it wasn't above board. I have now changed my card details - though the bank has advised me that rarely works, unsubscribed through their website and emailed all 3 email addresses you've posted (twice).
Hope it works
Huge scam. They are a bunch of fraudulent cheap ### telemarketers from Utah that have decided to spend their life scamming people thru the telephone or thru the internet stilling money by offering fraudulent jobs with Google etc. . . . . Do not give any personal information or buy anything from this people. One of many of their fish hooks is this: http://news8chicago.com/2009/FINANCE/income.opportunity/google/?subid=546.
They are lying to the people by providing information that makes you believe at first glance that they are related to “Google”. They also use the name Google to scam people thru the telephone. They call and present themselves as “John Doe” from Google Casting. Since they probably will tell that the call might be monitored or recorded the verbal agreement is automatically a bilateral type of legal contract. Record the conversation if you can and ask them: Are you related to Google? If they doesn’t monitor or record the calls tell them that you do. Record it anyway for your records then tell them at the end that the conversation was recorded.
They will charge between $70.00 - $80.00 + $1.95 initial fee every month from your credit, debit card each month for this scam if you don't cancel within 7 days after you signed electronically their fraudulent contract. So check your bank statement you might have a surprise there.
This people are exactly the same people from “Google jobs scam”, Infusion Media, Inc. handles their pages, MHM Money Mastery, Search Income Pro and Money Mastery, Internet Income Pro, “a corporation”, also d/b/a Google Money Tree, Google Pro, and Google Treasure Chest all are exactly the same. Related to Summit Consulting, Foreclosure World, NMR COACHING - SUCCESS TEAM (classified also as a Corrupted company by [redacted]) HomeJobStop, Process at Home etc. etc. etc. and a lot more. This people have being ripping off people thru scamming practices.
They use different names for this.
Company Web Site:
http://www.sipandmm.com/
Company E-mail:
support@sipandmm.com
You can try to cancel by calling here but they don’t answer the telephone or make it hard for you to cancel: [protected]. They don’t provide verifiable physical address so in order to trace them I used a different confidential and old NSA “path tracing Cherokee Indian trick”.
Some of their other phones are:
[protected] ext 500 “so called corporate offices”
[protected]
[protected] ext1115
[protected]
[protected]
[protected]
[protected] ext 1078
Some of this phones could be patched to cell phones tagged with names. This last information cannot be verified at this moment but will be shortly.
Their "corporation" has grown fast making money scamming people. They have being able to contract a bunch of yams with ties that are working for them as clueless slaves. Some of their scammers will give you the following names:
1) Their answering machine who says “corporate offices”. No description!
2) A woman that pass as a receptionist that present herself as Miss “Thank you for calling corporate offices”. ( I think is Suzanne Kimball Rekow)
3) Daniel Beninfield (real name could be Peter Jeppson)
4) Adams that say he is from “Google Casting”. (real name could be Alan Williams)
5) Dustin (which I think is Adam with a blond hair wig).
Any way this family are located in Utah and this is the people or company behind the scam.
6) Todd
Company is owned by:
Peter Jeppson and Alan Williams
MoneyMastery.com; Mars Hill Media LLC, 3051 W. Maple Loop, Suite 125, Lehi, Utah 84043, MarsHillMedia.com
(This is on the Ashton Blvd by the Club House Dr)
and (Money Mastery) Time & Money LLC 1403 South 600 West, Suite A, Woods Cross, Utah 84010
Phone: [protected] Fax: [protected].
Email: alan@moneymastery.net
info@moneymastery.com
customersupport@moneymastery.com
Toll Free:
[protected]
Phone:
[protected]
Suzanne Kimball Rekow (Publicity Manager)
Owners: Peter Jeppson and Alan Williams
http://www.moneymastery.com/AboutUs/default.aspx
http://www.facebook.com/peter.jeppson
To cancel you can:
A) Google their address go and kick their ### and then burn their bodies, families and descendants to ashes. I don’t recommend you this one because everything will end really fast and you won’t have a lot of fun with them crying and screaming. So try the next one (B).
B) Do it legally by sending a certified cancellation letter to:
PO box 2999 Riverton Utah 84065. File a report with the police. Then contact your bank file a dispute, cancel your account or change it and cancel your card or change it.
Optional: ### them really hard and fast in the ### w/o KY jelly (probably they will like it! I don’t really know.) Anyway by filling a complaint here:
1) FTC: https://www.ftccomplaintassistant.gov/
The terms and conditions are hidden in dark small letters.
2) The report them to:
Better Business Bureau of Utah
5673 South Redwood Road, Salt Lake City, UT
[protected]?
3) Computer crime and Intellectual Property Section
United States Department of Justice
http://www.cybercrime.gov/reporting.htm
4) FBI Salt Lake City
To report a crime
http://saltlakecity.fbi.gov/contact.htm
FBI Salt Lake City
257 East 200 South, Suite 1200
Salt Lake City, UT [protected]
Phone: [protected]
Fax: [protected]
E-mail: SaltLakeCity@ic.fbi.gov
Signed:
You### Withewrongguy Jr
First off I want to say thanx to Ray Ballanger. I fell subject to the same scam @three weeks ago untill i found your comment and called this phone #[protected] which was today 12/21/09. I am also unemployed right now. I was told there was a one time fee of $1.95 but when i went to take money out to pay bills dec. 8th I was short @$61. Called my card and was told a company named MHM Search Income Pro took my money. I was told it was a Google Money Making Program which was sent to my email address but so I found out they have nothing to do with Google. Untill I got the above # from Ray the 4-5 phone #'s I found including the one from my credit card everytime I called any one of them I got nothing but a busy signal. Anyway I called the above # from Ray and finaly got a hold of someone. At first they tried to give me the run around and said they could only give me back $14 and some change DONT FALL FOR IT. Argue with them. After doing so they put me on hold and when they came back I was told every last cent accept the $1.95fee would be put back on my card within 3-5 work days.And they also cancelled the subscriptions. Again thanx to Ray Bellanger. If you got scammed like me call this # [protected] and dont take no for an answer.
YOU MUST CALL THE COMPANY IN AMERICA AND CANCELL YOUR SUBSCRIPTION
hi dere! dey did the same 2 me . i am charged with $59.84 usd and in canadian $ 64.85 0n 5th of dec 2009. i am also not working and i used my husbands visa card for dis and now i really want to tk an action against it. need help.
2nd comment: Solution maybe: absolutely agree they did the same to me, in last week and I'm not working! today I logged in and found customer service ph. [protected] and said they would charge back this big charge 59.84 US = 64.71 cdn in 3-5 days so may work will see in week ok give it a try
RIP OFF
I was also charged 59.84 + 29.71 for both of these jokes. I did not sign up for either. I did find a telephone number and cancelled it. I hope this helps. [protected]
DO IT SOON SO YOU DONT GET CHARGES!
THIS IS HOW THEY TEACH PEOPLE TO EARN MONEY, RIP THEM OFF!
The complaint has been investigated and resolved to the customer’s satisfaction.
Solution maybe: absolutely agree they did the same to me, in last week and I'm not working! today I logged in and found customer service ph. [protected] and said they would charge back this big charge 59.84 US = 64.71 cdn in 3-5 days so may work will see in week ok give it a try
illegal charges
A charge for $59.84 appeared on my CC statement and I requested an inquiry as to who the recipient of my money is. They advised me to call a number which in turn suggests that I call the company or the organisation that I purchased from. Unfortunately I don't know what the charge is for or what is purchased. There's a possibility that it could be connected to the Acai berry and life cleansing products but I'm not sure. returned everything on time.
The complaint has been investigated and resolved to the customer’s satisfaction.
I agree. I'm on the phone with my bank right now trying to get this situation resolved. This is a total scam through google and they need to have this company removed from any ties with them. This is bad business.
Solution maybe: absolutely agree they did the same to me, in last week and I'm not working! today I logged in and found customer service ph. [protected] and said they would charge back this big charge 59.84 US = 64.71 cdn in 3-5 days so may work will see in week ok give it a try
fraud and scam
I have been in touch with my bank and the fraud squad are now investigating this. It is a scam and is fraud, they are making fraudulant claims and transactions without authorisation from the card holder. DO NOT use this web site on goolgle or entertain this company MHM MONEY MASTERY
Read full complaint and 36 commentsUnauthorized Charges/Fraud
I too signed up to receive the information and step-by-step instructions on making money using Google (Which by the way you can find out for free if you do your internet research). Just today, I discovered a pending transaction on my Bank Account for $59.84. I contacted the company through the 888 number they provided on their confirmation email. I spoke with a gentleman named Chris S who told me that I agreed to this fee when I submitted the form for the $1.95 program. He directed me to the Website I had used when signing up to see at the very bottom of the form in very small writing was a statement that said by submitting this form I agree to a 3 day Trial of blah blah blah and will be billed $59.84 per month blah blah blah. I explained that I DID NOT agree to that fee and was only signing up for the $1.95 step by step on using Google and that the confirmation email this company had sent to me said NOTHING about a 3 day trial. They have no written or verbal agreement from me and therefore I wanted the money refunded to me. He said they were going to refund me the money in 3 to 5 business days however, that is probably a lie as well. I have cancelled my bank card and was reissued a new one and I am in the process of filing a formal complaint with the Better Business Bureau. I am also hoping to find an attorney to represent the thousands of people being scammed through this site and will contact all local news channels as well. They have NO idea who they messed with. I have got nothing to do all day long but fight this.
The complaint has been investigated and resolved to the customer’s satisfaction.
I am totally pissed, , $59.84 that I DID NOT agree to. thanks for the [protected] number . I think we and many others should flood that number with calls. I know i will.
one pissed Cowboy...
That's exactly what happened to me. The guy said in 3-5 business days. I hope he wasn't lying as well. I dont want to have to cancel my card! He said he's gonna give me partial credit refund. I hope he's not lying.I'm freaking pissed!
Solution maybe: absolutely agree they did the same to me, in last week and I'm not working! today I logged in and found customer service ph. [protected] and said they would charge back this big charge 59.84 US = 64.71 cdn in 3-5 days so may work will see in week ok give it a try
Hi All. Another MM scam. I agreed to the $1.95 but not to the next charge. They actually called me to provide me a "Business that would make between $3, 000 - $10, 000 per month. The caller asked what would I be prepared to invest if I liked the proposal that is how much did I have to put toward the business and I had $200, 000. Their response was that they were not looking for more than $15, 000.My answer was that until I knew what the business was going to be I will not pay anything and will not put money into my credit account. They tried to get me to transfer my $ and they would call me the next day and present the proposal. I said that I am not going to move $1 before I know what I am going to be investing. They kept trying to push the idea so I hung up on them. We have a saying until the dollar soaks in the sweat of your palm you don't spend it. It is clear that my stratagy of keeping my debit card with minimal $ prevents losses not exceed $10. I reported the transaction to my credit card bank and have cancelled the card and will get a replacement.shortly. This card is used solely for online purchase exactly for the reason to prevent scam artists getting anything or low returns. I am in Australia, surely you guys in the USA have laws that can be used to clobber these coconuts. By the way I don't have $200, 000 but when they started to try and find out what I had when all I signed up for was the $1.95 I smelt a rat and decided to bait them.
I only found this site when I googled the company name to challenge them.
I guess the banks could do something to make it hard to pull these stunts such as hold the transaction for 14 days. which would be enough time for disputes to be sent thru bank to bank.
I hope this will be useful because they clearly have a different operational approach if they think they can get a bigger bite.
Hope this helps BZ
SCAM- recurring charges
After initial $1.95 charge to my credit card, a recurring charge of 49.95 and then a few days later 29.95 showed up. Then again a month later. After 15 minutes on hold with the number on my credit card statement (company name- Customer Support Now), I was told only the current charges could be refunded per an agreement with the parent company, Money Mastery. So, $1.95 led to almost $80 of unrecovered cash. My next step is to call my credit card company and attempt to get the additional $80. DO NOT SIGN UP FOR ANYTHING THAT HAS ANYTHING TO DO WITH: Money Mastery, My Money Plan, Google Search Profit System, or Simple Paychecks.com!
The complaint has been investigated and resolved to the customer’s satisfaction.
I'm afraid I was Also Duped By This Scam.I Contacted My Credit Card Company Straight Away I've Had A refund From Credit Card Company But Money Management have stole money out of my account again...So I'll Have to Contact credit card company again...
THIS IS A HORRIBLE SCAM. I too signed up for $1.95 to receive articles to review how to possibly do home based business with Google. I was then to my surprise billed $59.84 under Search Profits .com, and then $59.84 from MMTWEET, then $29.71 from both companies. I attempted to email the Search for profits .com Contact us page and the emails were returned. I contacted my bank to investigate and get credit and while it was under investigation, They billed me again! I all along attempted to contact their respective companies and phone numbers and ironically received the same receptionist and recording that they could not answer my call. Again the phone numbers all in Utah, were only a few digits apart! [protected], and [protected], and lastly [protected]. Finally on an investigation via the bank, I receive a paper page showing a Terms and Conditions page that obvisiously was hidden on their sign up page. I then again call customer service @ [protected], and I get a human being!...But all of a sudden all their computers crashed and they could'nt help me. CONTACT the UTAH, Attorney General, BBB, and avoid all business with: My Money Plan.net,
Search Profit Systems.com, Partners for Profit.com, Mars Hill Media.com, MMTweet.com and Online Income
Systems .com, ALL THESE ARE UNDER ONE UMBRELLA SCAM COMPANY NETWORK, and Im sure next month will have a new name . Be careful of any business operations such as this out of UTAH.
It is truly unfortunate that there are predator companies out there literally STEALING our money, without any
regard except for their own greed. CONTACT EVERYONE YOU CAN TO SHARE THEIR UNETHICAL
BUSINESS PRACTICES...GOOD LUCK
Solution maybe: absolutely agree they did the same to me, in last week and I'm not working! today I logged in and found customer service ph. [protected] and said they would charge back this big charge 59.84 US = 64.71 cdn in 3-5 days so may work will see in week ok give it a try
unauthorized card charges
These people are charging back to credit cards without autorization. I have had them take about $100 so far. they need to be stopeed from charging back, period unless they reveal before hand what there intentions are.
I was not aware that by giving out my card number for a $1.95 shipping fee they would illegally start charging $49.84 monthly and they need to be confronted about this.
If any body reading this complaint can legally get back my $100 please feel free to do so. they deserve to be black listed
John
[protected]@netzero.com
Unauthorized charges
I got scamed they say 1.85 for 30days never took the 1.85 a week later a look on my account 59.00 was taken out . they will still from you and not give you your money.someone with any information.please email me [protected]@aol.com so other people wont get scamed.
Hello, I am a Representative from Watkins Services, I was also lead into this scam and charged this amount.
At this time, I see this.
Pending Misc. Debit POS DEBIT MONEYMASTERY8663117023 LEHI UT
$49.84
I intend to seek full retribution for this transaction and I think we should all unit to end this scam and seek full retribution for our time and money.
This is us posting.
There are about 3 ? people.
There must be hundreds more who don't seek this information and do this research after we're victims of this scandalous scheme.
Input and ideas may be sent to the business email WatkinsServices@live.com
We need to end this nasty get rich quick scam that's plaguing the internet.
Money Mastery
http://blog.moneymastery.com/
Fraud Alert, so, spend 1.95 to make a lil side money ? Not the case at all.
Here are some complaints and my story on being the victim of fraud.
I spent 1.94 on this, and now I have a pending transaction I did not approve at all.
I never even implied that I would spend more then 1.95 on anything to do with them.
Pending Misc. Debit POS DEBIT MONEYMASTERY8663117023 LEHI UT Link to more information in a new browser window. $49.84
http://www.facebook.com/MoneyMastery#/MoneyMastery?v=wall
Money Mastery — Unauthorized Charge
Money Mastery — not refunded completely
[protected] money mastery telephone number
They are scam artists and they lie, this will be reported at 7 am when the bank opens.
Here are their associated pages.
http://blog.moneymastery.com/
http://twitter.com/MyMoneyPlan
http://www.facebook.com/MoneyMastery
This company debited my checking account for $1.95 on 10/15/90, $59.84 on 10/19/09 and $59.84 again on 10/22/09. I have already contacted my bank about these unauthorized charges and intend to sign an affidavit denying these charges. I suggest that anyone who has had this happen with Money Mastery do the same and, if necessary, cancel your debit/credit card and obtain a new one. As a last resort, if I find any charges against my account in the future then I may even close my account and open a new one. This is fraudulent.
The company, Money Mastery, tricks me (customers) to sign up for a trial $1.95 on 10/14/09 and obtains customer Credit Card info and then a few days later charges $ 24.95 as additional unauthorized charges. And the latest was $59.84 on 10/19/09. I called CHASE Bank complaint department - Lemont / 75th branch, Downers Grove, and I was told to call them myself ( what a service) giving me this nnumber: [protected].
Their phones are always busy and when you leave a message they state they will remove you from Billing but those unauthorized money is gone ! It seems you have authorized them for this additional whether you use their system or not !
The company has cultivated a sophisticated fraud to dupe customers to part with $ 49.84 by just signing up and I can imagine the money they must be making from unsuspecting customers coming to thier site!
This is a alert and warning and the authorities must investigate and get refunds for the consumers from this company
Charged me $1.95 for this google at home course. then charged me $49.95 to my credit card.. I never got any information and I cancelled this service. they cahrged me anyway. thieves..
Solution maybe: absolutely agree they did the same to me, in last week and I'm not working! today I logged in and found customer service ph. [protected] and said they would charge back this big charge 59.84 US = 64.71 cdn in 3-5 days so may work will see in week ok give it a try
I got a charge of 2.05 and a charge of 64.98 Aus. The only reason I know it's attatched to google is that I have read the above coments. I didn't even give out my credit card details. I did get my facebook hacked but the only time I used my credit card online is with paypal.
Good word my friend, I was refunded 100%.
This is what you must do.
Don't worry about them reading you their disclaimer b.s in fine print 2 screens down from the top of the page, that's b.s and it should be posted at the top, either way your the consumer you get ALL your money back guaranteed.
This is how, and why.
This info copied from another place, but utilize the info's stated here.
I just don't know if I can post other sites on this board if it will get screened and closed due to an outside link to another board so I don't post it, I just post the info's.
Go to your bank within 60 days of the charge, or as soon as you know about the charge, don't delay, and tell them that there has been fraudulent activity within your account. Explain that you wish to file a dispute, and demand that they assist you in accordance with Federal Regulation E.
According to the majority of victims interviewed by Rip-off, those who immediately called their banks to dispute the charges did not get very far. Many victims got the following responses from their banks: “we could not do anything for you” or “you waited too long; it has been more than 60 days”.
If the bank is says that you have waited too long, explain to them how you called their 800 number as soon as the charges were found, and were told by the bank that nothing could be done. Remind the bank that they failed to assist you properly at the 800 #, and instead, provided you with an inadequate explanation of your right to dispute. Tell the bank that it's their fault time has expired, and since they gave you the wrong info to begin with, they will just have to deal with it, take the loss and reverse the charges.
Tell them the truth; this was unauthorized and your account was NOT to be charged! Keep emphasizing how you never authorized anything! Direct them to the hundreds of victims reports that were filed on Rip-off.com. And if you're at the bank, walk them over to their computer and make them go to this site! If you are on the phone with them, tell them you will wait while they access this site! Either way, be persistent!
DO NOT TAKE NO FOR AN ANSWER!
Let them know nicely, that you were advised to Report them (the Bank) and this situation to the Banking Commission in your state. Since each state has a different name for the agency/controller over banks, find that name before you call or get to the bank so you can throw it in their face. The more knowledgeable you appear to be, the further you will get.
And just continue to demand the Federal Regulation E form! The bank CAN, MUST and WILL reverse the charge! But, you must be persistent; ask to speak to the supervisor or the area manager for all the branches in the state.
Let the bank personnel know you are meeting with the media later in the day, that you would much rather they do the right thing (as most other banks have) by looking at the complaints and immediately reversing the charge(s) to your account; no matter how long ago it was. Be sure to call the Media if necessary so you are telling the truth.
If you have to, be loud (but nice) in front of other customers. If you are just calling by phone, the above tactics should still work. The bank can easily fax or mail to you the Federal Regulation E dispute form.
CHARGES TO YOUR CREDIT CARD
If the charge was to your credit card (not debit card, check card, or checking account), contact the credit card company as soon as possible to request a dispute form. Consumers usually have a little longer to dispute fraudulent credit card charges (up to 6 months), but it is better to act right away. In this type of situation, credit card disputes are usually successful since fraudulent companies often won't contest the disputed charge. In rare cases, credit card companies will review disputes, but refuse to reverse the charges. If this occurs, complain to a manager and let them know you will be filing a report to everyplace online u know of.
Remember… Don't let them get you! The more Reports filed on a Company or individual, the more likely it is that the authorities, media and attorneys will want to take action.
And good luck… Let us know how you do!
I did some looking and the parent company Mars Hill Media LLC has received several complaints through the Better Business Bureau. The company is so rotten that they don't even own their own complaint line they have it shipped out to a 3rd Party, so if you do call them the people aren't even employed by this company. However you can get your last months money back if you call the number and wait on hold. The number to complain to is [protected]. But man what a racket this company is only cruel people would prey on consumers during a recession.
THE SAME THING HAPPENED TO ME AUTHORIZED $1.95 AND 5 DAYS LATER CHARGED $59.60. NOTHING BUT A SCAM!
I was also scammed by them. I was charged $1.95, $49.84 and then $29.71 and I never signed up with money mastery I signed up for work for Google for 1.95 never saw anything that had to do with money mastery. I have already filed a dispute with my bank today. And ordered a new card.
credit/debit card scam
This company will charge $1.95 to email you access to their system to start a google ads account. They then use your credit card that you used to pay for the $1.95 email delivery fee to automatically debit from your bank account 49.84 monthly. Don't fall for it.
The complaint has been investigated and resolved to the customer’s satisfaction.
Solution maybe: absolutely agree they did the same to me, in last week and I'm not working! today I logged in and found customer service ph. [protected] and said they would charge back this big charge 59.84 US = 64.71 cdn in 3-5 days so may work will see in week ok give it a try
Federal Regulation E only applies to UNAUTHORIZED transactions. If you agree to a trial and do not cancel in the time frame given Reg E will NOT cover you.
Go to your bank
within 60 days of the charge, or as soon as you know about the charge, don't delay, and tell them that there has been fraudulent activity within your account. Explain that you wish to file a dispute, and demand that they assist you in accordance with Federal Regulation E.
According to the majority of victims interviewed by Rip-off, those who immediately called their banks to dispute the charges did not get very far. Many victims got the following responses from their banks: “we could not do anything for you” or “you waited too long; it has been more than 60 days”.
If the bank is says that you have waited too long, explain to them how you called their 800 number as soon as the charges were found, and were told by the bank that nothing could be done. Remind the bank that they failed to assist you properly at the 800 #, and instead, provided you with an inadequate explanation of your right to dispute. Tell the bank that it's their fault time has expired, and since they gave you the wrong info to begin with, they will just have to deal with it, take the loss and reverse the charges.
Tell them the truth; this was unauthorized and your account was NOT to be charged! Keep emphasizing how you never authorized anything! Direct them to the hundreds of victims reports that were filed on Rip-off.com. And if you're at the bank, walk them over to their computer and make them go to this site! If you are on the phone with them, tell them you will wait while they access this site! Either way, be persistent!
DO NOT TAKE NO FOR AN ANSWER!
Let them know nicely, that you were advised to Report them (the Bank) and this situation to the Banking Commission in your state. Since each state has a different name for the agency/controller over banks, find that name before you call or get to the bank so you can throw it in their face. The more knowledgeable you appear to be, the further you will get.
And just continue to demand the Federal Regulation E form! The bank CAN, MUST and WILL reverse the charge! But, you must be persistent; ask to speak to the supervisor or the area manager for all the branches in the state.
Let the bank personnel know you are meeting with the media later in the day, that you would much rather they do the right thing (as most other banks have) by looking at the complaints and immediately reversing the charge(s) to your account; no matter how long ago it was. Be sure to call the Media if necessary so you are telling the truth.
If you have to, be loud (but nice) in front of other customers. If you are just calling by phone, the above tactics should still work. The bank can easily fax or mail to you the Federal Regulation E dispute form.
CHARGES TO YOUR CREDIT CARD
If the charge was to your credit card (not debit card, check card, or checking account), contact the credit card company as soon as possible to request a dispute form. Consumers usually have a little longer to dispute fraudulent credit card charges (up to 6 months), but it is better to act right away. In this type of situation, credit card disputes are usually successful since fraudulent companies often won't contest the disputed charge. In rare cases, credit card companies will review disputes, but refuse to reverse the charges. If this occurs, complain to a manager and let them know you will be filing a report to everyplace online u know of.
Remember… Don't let them get you! The more Reports filed on a Company or individual, the more likely it is that the authorities, media and attorneys will want to take action.
And good luck… Let us know how you do!
charged checking
this charge showed up on my debit checking account i do not know who they are and no one answer when you call you are put om hold and told to leave a message and you will be called back with in 24 hours so that's what i did and had to go to the bank and cancel my debit card becase they took out $78.55 out of my checking account and i reported there fruad to my bank and to you thank you if you have any question for me i carol williams can be reached at [protected] thank you for your help
The complaint has been investigated and resolved to the customer’s satisfaction.
Here is a number you can call and bug the hell out of them: [protected]. This is a "consulting firm" that works with/for "Money Mastery". Now, granted, they will tell you to call the never-answered customer service toll free number and they will insist it's "not a scam", but if enough people call and harass THEM, then they may get the picture (well, doubtful - - they'll probably just change their number!).
Go to your bank
within 60 days of the charge, or as soon as you know about the charge, don't delay, and tell them that there has been fraudulent activity within your account. Explain that you wish to file a dispute, and demand that they assist you in accordance with Federal Regulation E.
According to the majority of victims interviewed by Rip-off, those who immediately called their banks to dispute the charges did not get very far. Many victims got the following responses from their banks: “we could not do anything for you” or “you waited too long; it has been more than 60 days”.
If the bank is says that you have waited too long, explain to them how you called their 800 number as soon as the charges were found, and were told by the bank that nothing could be done. Remind the bank that they failed to assist you properly at the 800 #, and instead, provided you with an inadequate explanation of your right to dispute. Tell the bank that it's their fault time has expired, and since they gave you the wrong info to begin with, they will just have to deal with it, take the loss and reverse the charges.
Tell them the truth; this was unauthorized and your account was NOT to be charged! Keep emphasizing how you never authorized anything! Direct them to the hundreds of victims reports that were filed on Rip-off.com. And if you're at the bank, walk them over to their computer and make them go to this site! If you are on the phone with them, tell them you will wait while they access this site! Either way, be persistent!
DO NOT TAKE NO FOR AN ANSWER!
Let them know nicely, that you were advised to Report them (the Bank) and this situation to the Banking Commission in your state. Since each state has a different name for the agency/controller over banks, find that name before you call or get to the bank so you can throw it in their face. The more knowledgeable you appear to be, the further you will get.
And just continue to demand the Federal Regulation E form! The bank CAN, MUST and WILL reverse the charge! But, you must be persistent; ask to speak to the supervisor or the area manager for all the branches in the state.
Let the bank personnel know you are meeting with the media later in the day, that you would much rather they do the right thing (as most other banks have) by looking at the complaints and immediately reversing the charge(s) to your account; no matter how long ago it was. Be sure to call the Media if necessary so you are telling the truth.
If you have to, be loud (but nice) in front of other customers. If you are just calling by phone, the above tactics should still work. The bank can easily fax or mail to you the Federal Regulation E dispute form.
CHARGES TO YOUR CREDIT CARD
If the charge was to your credit card (not debit card, check card, or checking account), contact the credit card company as soon as possible to request a dispute form. Consumers usually have a little longer to dispute fraudulent credit card charges (up to 6 months), but it is better to act right away. In this type of situation, credit card disputes are usually successful since fraudulent companies often won't contest the disputed charge. In rare cases, credit card companies will review disputes, but refuse to reverse the charges. If this occurs, complain to a manager and let them know you will be filing a report to everyplace online u know of.
Remember… Don't let them get you! The more Reports filed on a Company or individual, the more likely it is that the authorities, media and attorneys will want to take action.
And good luck… Let us know how you do!
Moneymastery Fraud
I had these charges of $49.84 and $28.71 billed to my debit card account in addition to the $1.95 initial fee. They never return calls and bank on you not complaining or filing a dispute. My bank helped me file a dispute and I recommend changing your card as they will keep on charging your card.
Russ
The complaint has been investigated and resolved to the customer’s satisfaction.
Solution maybe: absolutely agree they did the same to me, in last week and I'm not working! today I logged in and found customer service ph. [protected] and said they would charge back this big charge 59.84 US = 64.71 cdn in 3-5 days so may work will see in week ok give it a try
not refunded completely
I signed up on august 3 on aug 5th I was charged $1.95 on aug 10 I was charged $49.84 on aug. 17th I was charged $28. 71 never was able to get a hold of anyone number either busy or say leave msg no one answers or call you back, mind you I have an answering machine. When I went to my account I was charged the same amounts again. When I finally got through a very nasty lady by the name of Suzie told me "to cut to the chase and tell her what i wanted", after telling her, she said I would only be credited a portion of the charges. in the end after being charged by this fraudulent company $157. 10 I was only credited back $39. 55. I am single mother with not a lot of time on my hands and now less money in my account. please be advised they do not credit you fully. I am so dissapointed that there are scam artists like this preying on people, but I'm also dissapointed in myself for not being persistent about the charges on my account and tracking my money.
The complaint has been investigated and resolved to the customer’s satisfaction.
I realized too late that this was a scam! I made a transaction of $1.95 and fine with that cause it wasn’t so bad after I found out about the scam ONLY FOR ME TO CHECK MY ACCOUNT A FEW DAYS LATER TO SEE $59.84 HAS BEEN DEDUCTED AS WELL! These people are heartless and should be sued for what they do! And now I cant even get a refund! I have talked to the company 3 times in the past and even gotten a confirmation NUMBER - MONEY MASTERY cancellation also a confirmation NUMBER for a Refund for $59.84 that was back on January 6th 2017. I have since talked with the thieves four times and have not gotten my account refunded as of February 26th, 2017. Each time that I talk with the thieves I get another excuse. I will do whatever it takes to put this company out of business. I am at the present time awaiting a call from the US attorney office to see what route to take to pursue criminal charges for theft by deception.
The company tricks customers to sign up for a trial $1.95 and obtains their CC info and then a few days later charges $ 59.84 as additional charges.
the web site would not let me cancel or reject the CHARGE.
Their phones are always busy and when you leave a message they state they will remove you from Billing but 59.84 is gone ! It seems they have increased their PRICE use their system or not !
The company has a sophisticated fraud to dupe customers to part with $ 49.84
This is a alert and warning
I can not get anyone to call me or e-mail me i have never been able to even do anything. then I get them on the phone and they tell me that we have 3 days on part of it and 10 days on the rest to call and cancle. Then they will charge your account the $59.00 and that is for the 3 day try and on the 10 try you will be charged another 79.00. I wish I would of read all of the terms and would of seen all of this. I hope nobody else does this. they did give me back 29.84, and they tried to make it sound like they were trying to help me.
I was searching to see how I can make money from working from home via of my computer. I went on money mastery site where they said for $1.95(which is for shipping charges) they would show me how to make over three thousands dollars per month. Well I agreed to pay the $1.95, expecting to get instructions in the mail. But, that is all I agreed to was the $1.95. This transaction was done on 9/27/09. On 9/29/09 my checking account was charged 1.95. Then on 10/05/09 my checking account was charged $49.84 which I didn't commit to. I called the number([protected]) to complain and I was told that $49.84 was in the term & agreement section and I couldn't get my $49.84 back but I wouldn't have any other charges added to my checking account. I told them that this wasn't nothing but a scam. I hope someone can help people like me.
I got scammed for $59.84! I checked my bank several times the day I made the $1.95 transaction. Nothing more that that was posted until today! Those SOB's. You read and you read, and they still find somewhere to HIDE the fine print! I will be filing with the Better Business Bureau against them. And more...
I seem to have fallen into a trap. On September 5th, I paid $1.95 for money mastery tips and there was no information on the website informing me of my impending debits of $59.84 and $29.71. I reviewed my checking account 10 days later to find out that I had been billed $59.84 and $29.71 within the space of 1 week. MONEY MASTERY is a scam as far as I'm concerned. If I don't get all my money back, I'm going to make an official complaint to make sure they are indicted for fraud.
This company scams people into thinking that they only have to pay 1.95 and somewhere they claim that you agree to have them take $49.84 from you account monthly. We never rec'd any confirmation from this company stating that this went thru. When I called they stated they could cancel future payments, but they refuse to refund what has already been taken, even though we have nothing to show for these services. This company clearly needs to be investigated. They are making money okay, from innocent people who cannot afford this service. My husband is out of work and now I am over $50.00 in the hole that I will most likely never see. They also tell me that they are not able to send a copy of this so - called email confirmation that they claim they sent to my husband's email address.
These people are making thousands of dollars by stealing money from innocent people whit their fraudulent practices like: Google jobs opportunity, Search Income Pro, Money Mastery, MHM Money Mastery and few others. This is a well known fraud. If you have being a victim of this these people, please read the following information and report them. Once you gave them your credit card number for the “shipping charges for a supposed documents package regarding the Google Jobs” they never send you anything, they make it extremely hard to cancel and they automatically charge monthly about $70.00 for no apparent reason or goods. They refuse to disclose information or a verifiable address. If you really want to get rid of they and really “F” in the back hole then you need to get help:
1) Better Business Bureau in your area and also:
Better Business Bureau of Utah
5673 South Redwood Road, Salt Lake City, UT
[protected]
-----------------------------------------------------
2) FBI
Get information here:
Computer crime and Intellectual Property Section
United States Department of Justice
http://www.cybercrime.gov/reporting.htm
----------------------------------------------------------
Go here and report the crime:
http://saltlakecity.fbi.gov/contact.htm
or visit:
FBI Salt Lake City
257 East 200 South, Suite 1200
Salt Lake City, UT [protected]
Phone: [protected]
Fax: [protected]
E-mail: SaltLakeCity@ic.fbi.gov
-------------------------------------------------------------
3) Contact The Federal Trade Commission at http://www.ftc.gov/ and feel a complaint:
Thank you.
Solution maybe: absolutely agree they did the same to me, in last week and I'm not working! today I logged in and found customer service ph. [protected] and said they would charge back this big charge 59.84 US = 64.71 cdn in 3-5 days so may work will see in week ok give it a try
ESTO ES UNA COMPLETA ESTAFA, LO PEOR DE TODO ES Q GOOGLE NO HACE NI PONE SOBREAVISO A LOS USUARIOS, ASI SU PRESTIGIO SE VE VENIDO A MENOS. NO SE REALMENTE QUIEN PUEDE PARAR ESTO, POR LA SITUACION ACTUAL Q VIVIMOS MUCHOS CAEMOS EN ESTO. SIN EMBARGO LO UNICO Q PUEDEN HACER ES REVISAR CONTINUAMENTE SU ESTADO DE CTA ONLINE Y RECHAZAR LOSCARGOS PONIENDOLOS EN DISPUTA, CUIDADO CON EL FAMOSO 1.95 POR EL KIT Q OFRECE GOOGLE PARA EMPEZAR A TRABAJAR PARA ELLOS.
Scam
My fiance signed up being told that he would only be charged a one time fee of $1.95 and low and behold, there has been 4 additional charges of $49.84 taken out. What a rip off. We have contacted our credit union but there isn't much we can do except stop further charges from this company but the money that has been taken is gone.
Does anyone have the number for this money mastery customer service or anything? Any information you may have would be great!
The complaint has been investigated and resolved to the customer’s satisfaction.
I called Money Mastery after seeing they took $59.84 out of my checking account on 11/09/2009. They would only refund $24.99 to me and I told them NO. What I found out from my bank is that they can put a Freeze on my account for this particular company and it would stop them from taking any more money out of my account. I also am disputing the charges. Money Mastery told me could see on the Home Page of the website that this is a subscriptionl. This is an out right lie. You have to go into the the Terms and Policy to see it is a subscription.
You're all a bunch of idiots. If it sounds too good to be true, then it probably is. Quite simple. Do some research before your own ignorance and greed takes over next time.
Hey! i got charged $ 29.97 $29.97 $59.99 $1.95 four times Can t get a hold of anyone at customer support my bank wont help me out I got ripped off too! what scam!
I TOO HAVE BEEN SCAMMED I AM IN SCOTLAND IN THE UK THIS IS AN OUTRAGE!
WHEN I WENT THROUGH THE APPLICATION AND WAS MADE WELL AWARE THAT IT WAS A ONE OFF PAYMENT OF £1.95 NO FURTHER PAYMENTS NOTHING!
WELL I HAVE NOW BEEN CHARGED £37.00 WHICH I WAS NOT AWARE I WOULD BE CHARGED I ALSO READ THE SMALL PRINT AND NEVER NOT ONCE DID IT STATE THIS!
I HAVE NOT EVEN RECIEVED THE KIT THAT I WAS SUPPOSED TO RECIEVE WHAT THE HELL! A COMPANY THAT IS SUPPOST TO HELP INPROVE YOUR LIFE IS DRAING US ALL DRY ...
I CALLED TODAY FROM THE UK SO U CAN IMAGINE GUNNA COST ME A BOMB ALSO AND I CANCELLED THE SUBSCRIPTION! I HOPE NO FURTHER CHARGES COME OUT OF MY ACC ALSO I HAVE INFORMED THE FRAUD TEAM AT MY BANK!
So when you sign-up, do you get anything at all for your $1.95, or is it a complete scam that relies on people not remembering to cancel / giving up trying to get their money back?
Solution maybe: absolutely agree they did the same to me, in last week and I'm not working! today I logged in and found customer service ph. [protected] and said they would charge back this big charge 59.84 US = 64.71 cdn in 3-5 days so may work will see in week ok give it a try
I am glad that I found this scam website. I was one click away from paying the $1.95.
I really feel sorry for you all who have been scammed.
After reading your complaints I went to their website and under the Terms and Conditions link
https://secure.recessionproofpaychecks.com/_includes/terms.html
It stated about the auto debits.
What a SHAM! I would never trust a company who hides their charges behind a tiny little link.
Cheers
Brian
Australia
Anybody from England, just dial [protected]. My brother used my card to sign up and I got charged £1.23, i found out that it was a scam and called them the same day and cancelled the account and thats the only charge i received. Hope this helps.
Michael
@reddevildes
I'm from Australia. I just got scammed today and got charged $2.19 from this stupid website https://secure.simplepaychecks.com/g/?cid=3871&subid=CD801-CD531&red=1
I thought it was google but after I "ordered" the instant access putting my debit mastercard in the details, the page didn't load to anything. I started to have a bad feeling that I got scammed, I quickly check my account using my online banking and they have taken money off my acc. I then quickly check my email and got a response email congratulating me and telling the steps to do, giving me my account name and password, but there's no website link to go into to begin with! I GOT SCAMMED. I immediately emptied my bank account to "0", transferring all my money to my other accounts in case I get charged again. I then immediately called the customer support number that they gave in the email: Money Mastery Customer Support
[protected].
Thankfully I got an immediate answer and cancelled my subscription, but to be extra safe I'm gonna call my bank first thing in the morning to let them know about this and to block any further charges if they try to.
Try calling that number. You'll be charged though since u are in the UK, I got charged too.
Good luck.
HI guys the same thing has happened to me, i requested the pack, for $1.95 which turned out to be £2.85 and then 4 dys later they take £38.80 which i did not authorize the payment for, this company is inreachable i have emailed them and the emails get pinged back saying address uncontactable... i am in the uk and there is no way of contacting them any ideas>?
I have contacted my bank and there fraud squad are now loking in to this case am gutted i have been scammed and conned and i don't know how to cancell my so call subscription again i am in the uk any ideas thanks guys be very carefull
des
Money is Great
When I signed up for the $1.95 I was not aware that I would be charged $49.84 for the money mastery program. I thought at first that I was being scammed so I called the [protected] that appeared on my credit card statement and spoke with Mike he then told me that it was stated on the credit card page before i entered my credit card information. He then walked me back to the page where I signed up for the $1.95 and it sure did state it where he said it would be. I payed for the service so I decided to give a chance and this was about a month ago. After using site me and my family have saved ove $200 in our monthly budget and this is only after one month. I advise any one that signed up for this program to give it a try, its a great service even if you did know you were going to be charged for it. I was very very upset when i first saw the charges on my credit card but know i couldnt be happier with th service.
The complaint has been investigated and resolved to the customer’s satisfaction.
Solution maybe: absolutely agree they did the same to me, in last week and I'm not working! today I logged in and found customer service ph. [protected] and said they would charge back this big charge 59.84 US = 64.71 cdn in 3-5 days so may work will see in week ok give it a try
I wish i knew where the CEO lived. I would toast his ###ing house. Pieces of ### companies like this. I hope some car runs anyone of you people who work for them and then another car runs your dead body over again. How can you ### holes so this ### right before the holiday season. Croak you ###in ###ds.
Out of $90 dollars in just a wk. Once you put money in your account they take it. ###
SAME AS A DUMMY123456, SUPERSCAMS. BEAWARE FROM www.mymoneyplan.net
Recently I found myself looking for an opportunity to make more money. I came across this website which featured google success stories, so I click and read a lil bit about it. Apparently I was under the impression that it would only cost me about $2 (using my credit/debit card) to pay for a service, then be mailed some info about there service or money mastery plan. BOY WAS I DAM WRONG. I was scammed completely. I despise ### like this that scam people out of their hard damn earned money, These sons of ### never told me Id be charged $59 ###in dollars for this crap didn't want. I honestly thought I'd be paying that stupid $1/95 for some literature that would just be mailed to me and thats it!. But then I just saw on my Debit account that I am out 59.95. I have been victimized by these people like so so so many have. Some of us are truly down to our last ###in penny, and for a company to do this is down right ###ing sick. They need to go straight to jail along with all other affiliates who endorse them. FALSE ADVERTISEMENT! HIDING HIDDEN FEES IN SMALL PRINT ( YOU ### PIECES OF ### COMPANIES) ! THIS IS PLAIN WRONG & NEEDS TO STOP...NOW!
They managed to charge me $1.95, $59.84 and the first of $29.71 payments. I never received an e-mail from them, hence my "product" was never delivered, according to them it probably ended up in the SPAM filter. But it is still my responsibility (according to them) to cancel within the 10 days.
Even though it has only been 18 days since the first contact and charge, and less than 30, there is no refund.
Stay away from them. They are superscams!
I, like others on this site have lost the $60, but they told me that I was not going to be charged the $29.71 because I called before the cancel deadline. On the same night I was charged the $29.71. UNBELIEVABLE!
SCAM ALERT!
WHEN THE BANK GOES AFTER THEM, HOW LONG DOES IT TAKE? I SEE PEOPLE FROM A FEW MONTHS AGO CALLED THERE BANK AND THE MONEY WAS RETURNED AFTER FILLING A COMPLAINT. YOU WOULD FIGURE THEY WOULD BE OUT OF BUSINESS BY NOW.
HOW CAN THESE GUYS SLEEP AT NIGHT KNOWING DOWN THE ROAD IT WILL BITE THEM HARD. SOMETHING BAD HAPPENS TO THOSE WHO PRAY OFF THE WORKING CLASS, MAYBE NOT IN OUR TIME BUT SURELY IN HIS...
BEST OF LUCK TO THOSE WHO'S ACCOUNTS ARE BELOW SIXTY DOLLARS... TO ALL
Scam indeed. When you call customer service, they refer to the "fine print".
I called my bank and was instructed to wait until the pending charge posts, then call the bank's Dispute Department. I was told that my money would be back in my account within 24-48 hours.
I called Money Mastery's Customer Service Department and cancelled my membership to avoid further charges to my credit card.
Good luck to all of you who are having to deal with these ###.
What money mastery needs to do is go an crawl up a dirty hole and take a few good licks to see how happy it would make them to taste the dirt they create.
this company is a such a scam. i never even authorized my card number with this company and i have since lost almost three hundred dollars.
Unauthorized Charge
The company tricks customers to sign up for a trial $1.95 and obtains their CC info and then a few days later charges $ 49.84 as additional charges.
Their phones are always busy and when you leave a message they state they will remove you from Billing but 4 49.84 is gone ! It seems you have authorized them for this additional whether you use their system or not !
The company has cultivated a sophisticated fraud to dupe customers to part with $ 49.84 by just signing up and I can imagine the money they must be making from unsuspecting customers coming to thier site!
This is a alert and warning and the authorities must investigate and get refunds for the consumers from this company
The complaint has been investigated and resolved to the customer’s satisfaction.
This company have also taken money from my account without consent. I am currently in communication with my bank about this fraudulent activity and hope to get all money stolen returned to me.
I also have had money taken via "Harmony Financial", "Passive Profits", "search Income" and Webhost"... so they are all either owned and ran by the same nasty people or my details have been sold to all by one of them.
I WILL bring them to justice- but any other people effected please post here to help add weight to the complaint.
They lure you into a get rich scheme helping Google find links. To legitimize you as a real person you are asked to provide your address and phone number. They ask you to read their website and check them out. Usually my staff checks these things out but all they ask is for you to send them $1.95 for a booklet about how to start with Google. $1.95 is nothing so you give them your credit card info. Then they tell you that for more information they will charge you $395.00 flat fee or $29.84 per month as a member. If you close your browser you find a $29.84 charge added to your credit card. When you call them you leave your number. They call back and when you tell them about the charge they say that if you cancel your membership they will charge your card a fee of $395 for early cancellation. Your only recourse is to cancel your credit card immediately. As you are canceling your card they are in the process of putting that charge on your card. If you are fast enough, you can cut them off.
I did not authorize this "SCAM" to debit my card for $59.00. I am trying to somehow make sure that I am no longer debited and for a refund for services I never received. Please Notify the proper authorities to put this problem to rest and for refunds for those who were scammed.
I have not signed up for anything, but this company has hacked into my cell phone. I keep trying to make a call and it is directing me to Verizon, but I have sprint, then it tells me to dial 611 for customer care and askes you to say your account number, when you dial 611, it takes you to this company called "Money Mastery for Life"! How are they getting in my phone line and how can I get this scam stopped? Serious charges should be made on this company for illegally tapping into ones personal phone line, and trying to obtain my personal information in a fraudulent manner. People should start criminal charges on this company: above scams mentioned, ripping people off!
I am an officer of the company. Let me tell you the whole story. We are the ones who got scammed. A marketing company came to us offering to generate thousands of leads then they used our product to run the campaign you are referring to. We did not authorize, profit from or endorse their practices. They have since gone out of business and left us with a huge mess. It is unfortunte because we actually have a great product and we have helped thousands of people get their finances in order and create a secure retirement. We have been in business for 17 years and have had a spotless record until now.
I have had the same thing happen for almost six months, I dont check my account often enough. They use different vendor names every month, I suppose so you wont notice them. I just found this out on friday, I cancelled my card and I am going to the bank tomorrow to see what they advise. The money being taken out is in 59.74 and 29.71 increments... If you know how to get the money back please let me know!
thanks in advance
Lynsey
OK guys-gals: here is the deal with me. I got scammed as well, my bank contacted money mastery and was told that it was for a trial perion and when I did not respond, they charged my account...which was STUPID of me to give them the acct # in the first place.
The bank admits that they submitted the request wrong. instead of a refund, it should have been for "goods not received".
I called the FBI and was told to go to the website: www.ic3.com and file a complaint and if the FBI gets enough hits they will investigate...IC3 is explained on the website.
SOOOOOOOOO, stand up, shout, pound the desk. MM's has to be stopped. Only we can do it. File that complaint, Write your senators, go to the press, expose them for what they are, "DIRTY ROTTEN SCAMMERS"
This is one of many scams going on. Ginger...if it didnt happen to you...shut up! Don't be an ###! People are trying to make money in these hard economic times. When they see something that might help and sounds legitimate, they go for it. Don't downplay someone for being victimized.
As for everyone else who has been scammed, I have also been scammed. If you have the number to contact them, please let me know. I have contacted my bank to cancel any transactions coming from them and my card. I get a fax line when I call the number which is listed as [protected]. Anything that says make money online is not true unless it is West At Home or another company that has to do with education inquiries. Trust me, I have worked for them both. They pay about 10.00/ hour max to work from home for them. Very demanding but definately legitimate.
The same thing happened to me, I was also charged with that same amount of money.
I registered just to try and see if this will work for me, but after having a look for less than an hour I decided to cancel my account on that same day (that was 1/9/2010).
They cancelled my account and told me that there will be no charges if the future. I was surprised when I looked at my CC statement and they charged me $59.84 on 1/14/2010 and $29.71 on 1/26/2010. I'm not sure if this money will be refunded to me and that they will not charge me in the future.
READ THIS: Effective January 20, 2010
You will have 3 days from your initial signup date to access and use the system in which you may cancel and owe nothing further. Following your 3 introductory period to The Home Profits System, your card on file will be billed a one time payment of $99.71. After this period, your membership will be billed in six (6) monthly installments of $79.95 each billed to your same card on file approximately every 30 days. You can cancel any time after the initial three day period, in which case you won't be refunded that month's installment, but you will have member access through the end of the month, and you will not be billed again. For questions or to cancel you may call [protected] Mon-Sat, 7am-7pm, PST.
I tried to call the number above, as expected not available. SCAMMERS
I have just been had by these as well for £38.09. Twice. I have contacted my bank asking them to reverse the payment on the grounds that I didn't authorise it. I am awaiting their reply. This is nothing short of thievery!
Money Mastery / Time & Money complaints: history and resolution overview
Out of all reported cases, 17 complaints (80%) have been marked as resolved, while 4 complaints (20%) remain unresolved. The most recent resolved complaint, Not delivering the promise, all sales hype, provides additional insight into how customer issues have been handled.
Customer feedback spans multiple years and reflects a range of user experiences. Reviewing complaint history and resolution outcomes may help users better understand the company’s track record and make more informed decisions.