Menu
Write a review
File a complaint
Richard Cayne Profile

Richard Cayne

www.richardcayne.com

Learn how the rating is calculated

1.0

Overall reputation rating based on reviews and complaints

Richard Cayne has an overall reputation rating of 1.0/5 based on 4 reviews and 0 complaints, indicating that the majority of clients are dissatisfied with financial advisory services.

Claim Your Business
Take control of your profile: address complaints and engage with reviews
Write a review File a complaint

Latest Reviews and Complaints

ComplaintsBoard
W
Verified customer The reviewer confirmed their account using Google. Learn more
New review

Richard Cayne Richard Cayne stole our hard earned money

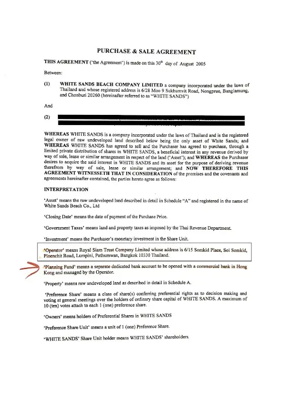
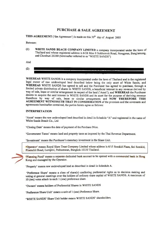
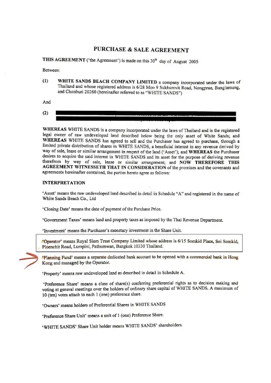
Now that it has been fully proven Richard Cayne has stolen US millions of our money while playing games and lying to us for many years on bogus claims in White Sands Beach he must start honouring the redemptions we filed years ago with his Royal Siam Trust that he denied. The Thai court did not honour our claims of course with his usual stall, blame and deflect bulls**t as we were told by another man plus a law firm for many years but Richard kept playing games and abusing us. We will be posting all of this including the evidence of the millions he stole and the lies to courts. Shame on you and your paid lawyers in Bangkok Richard.

https://whitesandsbeachinfo.blogspot.com/

Recommendation: DO NOT TRUST

Read full review
Update by WSB Claimants

Liar and crook

Hide full review

4 Richard Cayne Reviews

ComplaintsBoard
P
Verified customer The reviewer confirmed their account using Google. Learn more

Richard Cayne Richard Cayne stole our hard earned money

Now that it has been fully proven Richard Cayne has stolen US millions of our money while playing games and lying to us for many years on bogus claims in White Sands Beach he must start honouring the redemptions we filed years ago with his Royal Siam Trust that he denied. The Thai court did not honour our claims of course with his usual stall, blame and deflect bulls**t as we were told by another man plus a law firm for many years but Richard kept playing games and abusing us. We will be posting all of this including the evidence of the millions he stole and the lies to courts. Shame on you and your paid lawyers in Bangkok Richard.

https://whitesandsbeachinfo.blogspot.com/

Read full review
Hide full review
ComplaintsBoard
S
Verified customer The reviewer confirmed their account using Google. Learn more

Richard Cayne Richard Cayne stole our hard earned money.

Now that it has been fully proven Richard Cayne has stolen US millions of our money while playing games and lying to us for many years on bogus claims in White Sands Beach he must start honouring the redemptions we filed years ago with his Royal Siam Trust that he denied. The Thai court did not honour our claims of course with his usual stall, blame and deflect bulls**t as we were told by another man plus a law firm for many years but Richard kept playing games and abusing us. We will be posting all of this including the evidence of the millions he stole and the lies to courts. Shame on you and your paid lawyers in Bangkok Richard.

https://whitesandsbeachinfo.blogspot.com/

https://m.facebook.com/story.php?story_fbid=pfbid021CseMvTjCc8DLM7WJFnsjY4EK8GTHHF2g4cu5wbHZtkdDCLEafxZRTFBT8XwMRpDl&id=100001274220196

Recommendation: Richard Cayne must face this or justice.

Read full review
Hide full review
ComplaintsBoard
S
Verified customer The reviewer confirmed their account using Google. Learn more

Richard Cayne My Richard Cayne nightmare

This is the most accurate description of this thieving scumbag I have ever read. Exactly what happened to me. Sent a legitimate but rather underperforming Zurich investment plan with his land banking grade land “top recommendation” for a fake company he actually owned called Royal Siam Trust. Where my cash went in Hong Kong. Said I could get a redemption or out at any time yet when I wanted out he had every excuse in the book. It was actually him and his mate Gregory Pitt that didn’t want to give a dime back to any investor. I asked others over the years and the exact same happened to them.

Recommendation: Avoid like Covid

Read full review
View 0 more photos
Hide full review

Is Richard Cayne Legit?

Richard Cayne earns a trustworthiness rating of 87%

Highly reliable. Use their services with confidence, yet trust but verify.

Our conclusion: ComplaintsBoard highly recommends Richard Cayne for their strong reputation and reliability. However, it's still wise to weigh the pros and cons and research thoroughly, even if Richard Cayne seems completely reliable.

A long registered date for richardcayne.com can be seen as a positive aspect for Richard Cayne as it indicates a commitment to maintaining the website and its domain name for a long period of time. It also suggests that the company is organized and has taken steps to secure its online presence.

The age of Richard Cayne's domain suggests that they have had sufficient time to establish a reputation as a reliable source of information and services. This can provide reassurance to potential customers seeking quality products or services.

Richardcayne.com has a valid SSL certificate, which indicates that the website is secure and trustworthy. Look for the padlock icon in the browser and the "https" prefix in the URL to confirm that the website is using SSL.

Richardcayne.com has been deemed safe to visit, as it is protected by a cloud-based cybersecurity solution that uses the Domain Name System (DNS) to help protect networks from online threats.

Trust badge
Collect Your Trust Badge
Be recognized for outstanding customer service
  1. Richard Cayne Contacts

  2. Richard Cayne social media
  3. Stan
    Checked and verified by Stan This contact information is personally checked and verified by the ComplaintsBoard representative. Learn more
    May 15, 2026
Richard Cayne Category
Richard Cayne is ranked 152 among 152 companies in the Investment Services category